題組內容
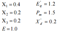
五、考慮圖 4 之系統,以下所有之參數皆以標么值表示: 
其中E'q 為故障時之發電機反電勢,Pm 為發電機之輸入機械功率, X'd 為發電機之直
軸暫態電抗,E 為無限匯流排之電壓大小。
假設在圖 4 中的 F 點發生平衡三相接地故障,試問:

其中E'q 為故障時之發電機反電勢,Pm 為發電機之輸入機械功率, X'd 為發電機之直
軸暫態電抗,E 為無限匯流排之電壓大小。
假設在圖 4 中的 F 點發生平衡三相接地故障,試問: