阿摩線上測驗
登入
首頁
>
工程力學(含靜力學、動力學與材料力學)
>
102年 - 102 專技高考_機械工程技師:工程力學(包括靜力學、動力學與材料力學)#25925
> 申論題
題組內容
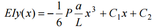
四、圖四為某鋼樑支撐及受力圖,有一集中負荷 P 作用於端點 C 處。以 A 為原點,向右 座標軸為 x,向上座標軸為 y,其位移關係式為:
⑵試問最大位移( y
max
)表示式及其位置( x
max
)表示式?(10 分)
相關申論題
⑶若 P= 220 kN,L= 5 m,a=1.2 m,E= 200 GPa,I =300 ×10 6 mm 4 ,試問最大位移 量(y max )及其位置( xmax )?(5 分)
#39444
⑴主應力σ 1及σ 2的值為若干 MPa?(5 分)
#39445
⑵以主應力σ 1及σ 2繪製平面應力狀態。(5 分)
#39446
⑶若以三維(three-dimension)的考慮,主應力σ 1、σ 2及σ 3的值各為若干MPa?(5 分)
#39447
⑷絕對最大剪應力(absolute maximum shear stress)的值為何?(5 分)
#39448
四、若空間上任一點溫度T 可表成 T = xy + yz + zx 試求在點(1,1,1) 上之最大溫度變化率 ∇T 為何?(20 分)
#39452
二、一直流並激式(DC Shunt Excited)電動機之額定為 2 kW,電樞電阻為 1.0 Ω,磁場 電阻為 400 Ω,若其額定輸入端電壓為 200 V 且輸出額定之功率時(假設摩擦及風 阻等機械損失可以忽略),其轉速為 2000 rpm(轉/分),試問此時電動機的電樞電 流為多少安培(A)?及電樞感應電壓為多少伏特(V)?(25 分)
#39455
四、如果將一組需消耗 3.0 kVA 的三相電感性負載連接至線間電壓為 208 V 的三相供電 系統時,其操作功因為 0.8 滯後。若此時將一個操作於 5.0 kVA 的三相同步電動機 與該電感性負載並聯,而使得由供電系統所供應的總電流操作於 1.0 的功因時,試 問該三相同步電動機由電源側所吸收的三相實功及虛功大小各為多少瓦(W)及乏 (Var)?(25 分)
#39457
一、設有一「ㄇ」型電磁鐵,截面積為 50 cm2 ,其上繞有 200 匝的線圈,線圈總電阻值 為 3 Ω。將該電磁鐵用來舉起一 100 公斤重的厚鐵板,電磁鐵與厚鐵板的兩接觸 面因鐵板表面粗糙而形成兩處長度為 0.2 cm 的氣隙。設自由空間的導磁係數μ0 為 4π×10-7 H/m,若不計電磁鐵以及厚鐵板的磁阻,試求應施加於電磁鐵線圈的最小電 壓值。(20 分)
#39458
二、考慮旋轉電機(直流機、交流機)的兩種繞組:電樞繞組、磁場繞組。試說明該兩 種繞組的功能並比較直流機與交流機在裝設該兩種繞組位置的差異,以及分析兩種 交流機(同步發電機、感應電動機)在轉子構造、轉子繞組、機械轉速的不同。 (20 分)
#39459
相關試卷
115年 - 115 關務特種考試_三等_機械工程(選試英文):工程力學(包括靜力學、動力學與材料力學)#138918
115年 · #138918
114年 - 114 專技高考_機械工程技師:工程力學(包括靜力學、動力學與材料力學)#133710
114年 · #133710
114年 - 114 公務升官等考試_薦任_機械工程:工程力學(包括靜力學、動力學與材料力學)#133242
114年 · #133242
114年 - 114 專技高考_專利師(選試專業英文及工程力學)、專利師(選試專業日文及工程力學):工程力學#130105
114年 · #130105
114年 - 114 關務特種考試_三等_機械工程(選試英文):工程力學(包括靜力學、動力學與材料力學)#126623
114年 · #126623
113年 - 113 臺灣菸酒股份有限公司_從業評價職位人員試題_鍋爐:工程力學#132351
113年 · #132351
113年 - 113 專技高考_機械工程技師:工程力學(包括靜力學、動力學與材料力學)#123897
113年 · #123897
113年 - 113 專技高考_造船工程技師:工程力學(包括靜力學、動力學與材料力學)#123895
113年 · #123895
113年 - 113 專技高考_專利師(選試專業英文及工程力學)、專利師(選試專業日文及工程力學):工程力學#122211
113年 · #122211
113年 - 113 關務特種考試_三等_機械工程(選試英文):工程力學(包括靜力學、動力學與材料力學)#119496
113年 · #119496