阿摩線上測驗
登入
首頁
>
通訊系統
>
100年 - 100年一般警察人員、100年警察人員、100年交通事業鐵路人員考三等_警察特考_交通警察人員電訊組#27338
> 申論題
題組內容
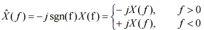
一、訊號 x(t) 的希爾伯特轉換(Hilbert Transform)xˆ( t)(在頻域(Frequency Domain)表示為:
⑵試求出訊號 x(t)=cos(ω
0
t) 之希爾伯特轉換,並驗證x (t)和xˆ(t) 相互正交(Orthogonal)。 (10 分)
相關申論題
⑴試運算希爾伯特轉換在時域(Time Domain)相對應之脈衝響應(Impulse Response)。 (5 分)
#48420
⑶試畫出訊號 y(t) = x (t)+ jˆx(t) 之雙邊(Two-Sided)頻譜(Spectrum)。(10 分)
#48422
⑴試找出一組正規化正交基底函數(A Set of Orthonormal Basis Functions)。(5 分)
#48423
⑵將 sk(t), k = 1,2,3,4, 以訊號空間(Signal Space)觀念,畫在上一小題所找到基 底函數所展開的訊號空間圖(Signal Space Diagram)上。(10 分)
#48424
⑴計算接收機之等效雜訊溫度。(10 分)
#48426
⑵計算接收機之等效雜訊指數(noise figure)。(15 分)
#48427
⑴一個行動電話網路的基地台同時接收細胞內兩個手機的信號,若基地台對應手機 甲之接收機頻率響應 |H(f)| 斜率為 6dB/ octave,中心頻率 1MHz 之信號為 0dB, 頻寬為 30KH;當中心頻率為 1240 KHz,產生之相鄰頻道干擾損(adjacent channel interference)為幾 dB?(log102=0.3)(10 分)
#48428
⑵若手機甲與基地台間之距離為 3 公里,而手機乙與基地台間之距離為 1 公里。 請計算手機乙之中心頻率值,藉以避免手機乙的信號因遠近效應之路徑損差值 (path loss difference)對基地台手機甲之接收機產生干擾。(15 分)
#48429
(三)計算該來源的熵,並與 進行比較。
#557755
(二)計算每個來源符號平均需要的二進制位數 。
#557754
相關試卷
114年 - 114 專技高考_電子工程技師:通訊系統#133705
114年 · #133705
114年 - 114 國家安全情報特種考試_三等_電子組(選試英文):通訊系統#127789
114年 · #127789
113年 - 113 專技高考_電子工程技師:通訊系統#123975
113年 · #123975
112年 - 112 專技高考_電子工程技師:通訊系統#117684
112年 · #117684
112年 - 112 國家安全情報特種考試_三等_電子組(選試英文):通訊系統#114831
112年 · #114831
111年 - 111 專技高考_電子工程技師:通訊系統#111978
111年 · #111978
111年 - 111 警察特種考試_三等_交通警察人員電訊組:通訊系統#108624
111年 · #108624
111年 - 111 國家安全情報特種考試_三等_電子組(選試英文):通訊系統#108610
111年 · #108610
110年 - 110 專技高考_電子工程技師:通訊系統#104217
110年 · #104217
110年 - 110 警察特種考試_三等_交通警察人員電訊組:通訊系統#101674
110年 · #101674