阿摩線上測驗
登入
首頁
>
通訊系統
>
102年 - 102年外交領事及外交行政人員、102年民航人員、102年法務部調查局調查人員、102年國家安全局國家安全情報人員、102年經濟部專利商標審查人員考國安情報人員三等_電子組(選試英文)#26081
> 申論題
申論題
試卷:102年 - 102年外交領事及外交行政人員、102年民航人員、102年法務部調查局調查人員、102年國家安全局國家安全情報人員、102年經濟部專利商標審查人員考國安情報人員三等_電子組(選試英文)#26081
科目:通訊系統
年份:102年
排序:0
申論題資訊
試卷:
102年 - 102年外交領事及外交行政人員、102年民航人員、102年法務部調查局調查人員、102年國家安全局國家安全情報人員、102年經濟部專利商標審查人員考國安情報人員三等_電子組(選試英文)#26081
科目:
通訊系統
年份:
102年
排序:
0
題組內容
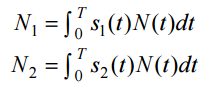
二、兩訊號波形
在區間(0,T)為正交(orthogonal)。現有零平均白色雜訊 (zero-mean white noise)隨機訊號N(t)其功率頻譜密度(power-spectral density)為N0 / 2 。當N(t)與 s
1
(t) 及s
2
(t) 進行相關運算得
申論題內容
⑶在何條件下N
1
及N
2
為獨立?(5 分)