阿摩線上測驗
登入
首頁
>
通訊系統
>
99年 - 099年外交領事人員及國際新聞人員、國際經濟商務人員、法務部調查局調查人員及國家安全局國家安全情報人員國家安全情報人員電子組(選試英文)#36338
> 申論題
題組內容
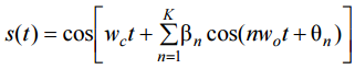
三、考慮如下 FM 訊號
⑶如果各個θ
n
為獨立的隨機變數且均勻分布在-π與π間,試求頻率偏移的均方根值 (root-mean-square value)。(5 分)
相關申論題
二、將一角調變(angle-modulated)訊號v(t)=Acos(wct+βsinwmt)輸入到RC高通濾波器 (RC highpass filter)的輸入端,若v(t)中的頻率遠小於濾波器的電容與電阻乘積的 倒數(w<<(RC) -1),請證明此濾波器的輸出訊號變為調幅(DSB-LC)訊號且可利用 波包檢測器(envelope detector)解調,並求出其調變因數(modulation index)。( 20 分)
#100572
⑴如果θn都為常數,請計算s(t)的瞬間頻率(instantaneous frequency)。(5 分)
#100573
⑵如果θn=0 且K=1,試求最大頻率偏移(maximum frequency deviation)。(5 分)
#100574
⑷在⑶的情況下,試求相位偏移(phase deviation)的均方根值。(5 分) (提示:隨機變數x的均方根值為xrms=[E(x 2 )]1/2)
#100576
⑴若使用FDM(frequency division multiplexing)技術且f1=600 kHz,欲使系統有最 小傳輸頻寬且訊號頻譜不重疊,求f2、f3與f4。(7 分)
#100577
⑵試求⑴部分中,此 FDM 系統的傳輸頻寬。(7 分)
#100578
⑶若使用 TDM(time division multiplexing)技術,求此 TDM 系統需要的最小傳輸 頻寬。(6 分)
#100579
(三)計算該來源的熵,並與 進行比較。
#557755
(二)計算每個來源符號平均需要的二進制位數 。
#557754
(一)使用霍夫曼編碼程式確定來源輸出的二進位代碼。
#557753
相關試卷
114年 - 114 專技高考_電子工程技師:通訊系統#133705
114年 · #133705
114年 - 114 國家安全情報特種考試_三等_電子組(選試英文):通訊系統#127789
114年 · #127789
113年 - 113 專技高考_電子工程技師:通訊系統#123975
113年 · #123975
112年 - 112 專技高考_電子工程技師:通訊系統#117684
112年 · #117684
112年 - 112 國家安全情報特種考試_三等_電子組(選試英文):通訊系統#114831
112年 · #114831
111年 - 111 專技高考_電子工程技師:通訊系統#111978
111年 · #111978
111年 - 111 警察特種考試_三等_交通警察人員電訊組:通訊系統#108624
111年 · #108624
111年 - 111 國家安全情報特種考試_三等_電子組(選試英文):通訊系統#108610
111年 · #108610
110年 - 110 專技高考_電子工程技師:通訊系統#104217
110年 · #104217
110年 - 110 警察特種考試_三等_交通警察人員電訊組:通訊系統#101674
110年 · #101674