題組內容
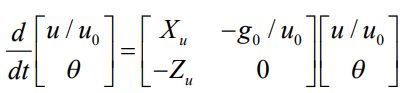
六下列方程式由水平飛行平衡狀態線性化後得到,用來近似飛機縱向長週期反應:
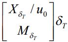
透過加入一項
,給上述方程式右邊,吾人可加入油門輸入的效應,其中:(20 分)
- u0 表平衡狀態下縱向速率,u 表速率擾動
- g0 表重力加速度
-θ表俯仰角擾動(perturbation)
- Xu , Zu為關於x 軸與z 軸方向作用力的穩定性導數(stability derivative)
- δT 表示在平衡狀態設定下油門(推力)擾動
- XδT , M δT為控制導數(control derivative)
(二)一 Boeing 747 修改版本在其高速配置下以馬赫數 M = 0.90 飛行於高 度 12,000 m、標準大氣中,其相關於本題的參數與穩定性導數如下:
當輸入為一步階(step input) δT=0.1 時,求系統穩定狀態反應 (steady-state response)。