阿摩線上測驗
登入
首頁
>
流體力學
>
108年 - 108 高等考試_三級_水利工程、環境工程、機械工程:流體力學#77922
> 申論題
題組內容
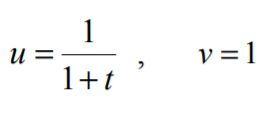
四、某二維流場之速度分布如下:
試求此流場
⑵在 t = 1 時通過點(1, 1)之蹟線(或稱煙線)方程式。(10 分)
相關申論題
一、水流流經一水平管(內徑 D = 15 cm) ,若假設摩擦因子 f = 0.015,體積 流率為 0.1 m3/s,試求流經 100 m 管長之壓力水頭差為多少?水之密度 ρ 為 1.0 g/cm3,重力加速度 g 為 9.81 m/s2。(20 分)
#316751
二、已知一壓縮性流體之速度場為 ,其中, ρ 表該流體密度,x, y 表直角座標,t 表時間。請推求當 t = 1 時,通過點(1,1)之 =? (20 分)
#316752
⑴於噴嘴口相對於旋轉臂之出水速度為每秒多少公尺?(10 分)
#316753
⑵達到穩定旋轉時,旋轉臂之轉動速率 ω 為何?(10 分) ω 1.25 公分 1.25 公分 15 公分 20 公分
#316754
⑴在 t = 1 時通過點(1, 1)之流線方程式。(10 分)
#316755
⑴位移厚度。 (10 分)
#316757
⑵動量厚度。 (10 分)
#316758
五、有一定量流之速度分布為 u = 3ax, v= 4ay, w = -7az ,試求通過點(1, 1, 1)之 流線方程式。(20 分)
#570119
四、已知某二維流場()之速度分布如下,求其速度勢能函數Φ及流函 數φ。(20 分)
#570118
三、有一液體(比重 = 0.85)流經一細腰管計(文氏計),如圖二所示,圖中點 (1)、(2)保持一水平線。若流率介於 0.001 cms 到 0.050 cms 之間,試求出此 範圍間的流率可能形成之壓力差範圍值為若干 kPa?(20 分)
#570117
相關試卷
115年 - 115 身心障礙特種考試_三等_水利工程:流體力學#138962
115年 · #138962
114年 - 114 地方政府公務特種考試_三等_水利工程:流體力學#134777
114年 · #134777
114年 - 114 地方政府公務特種考試_四等_水利工程:流體力學概要#134736
114年 · #134736
114年 - 114 專技高考_水利工程技師:流體力學#133675
114年 · #133675
114年 - 114 公務升官等考試_薦任_水利工程:流體力學#133259
114年 · #133259
114年 - 114 普通考試_水利工程:流體力學概要#128762
114年 · #128762
114年 - 114 高等考試_三級_水利工程:流體力學#128749
114年 · #128749
114年 - 114 身心障礙特種考試_三等_水利工程:流體力學#126638
114年 · #126638
113年 - 113 地方政府公務特種考試_三等_水利工程:流體力學#124528
113年 · #124528
113年 - 113 地方政府公務特種考試_四等_水利工程:流體力學概要#124496
113年 · #124496