阿摩線上測驗
登入
首頁
>
自動控制學
>
108年 - 108 身心障礙特種考試_三等_機械工程:自動控制#75773
> 申論題
題組內容
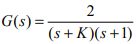
一、下圖為一閉迴路正回授控制系統,其中
與 H ( s) = 1。
⑵繪製此閉迴路控制系統之根軌跡圖(root locus plot),並標示出極點 (pole)與零點(zero)的座標,及各所對應之 K 值。(10 分)
相關申論題
⑴欲使此閉迴路控制系統穩定之 K 值範圍為何?(5 分)
#305819
⑶欲使此二階系統的阻尼比ζ(damping ratio)為 2 時,K 值該如何設計? (10 分) Y ( s) s −1
#305821
⑴當輸入為一單位步階(unit step)函數時,求解並繪出輸出響應(response) y(t) = ℒ 1 {Y(s)} , 其 中 ℒ 1 表 示 反 拉 普 拉 斯 轉 換 ( inverse Laplace transform)。(10 分)
#305822
⑵當輸入為 sin(t ) 時,求解當時間趨近於無限大時相對應之穩態(steady state)輸出響應 y (t ) 。(5 分)
#305823
⑶繪出此系統之波德圖(Bode plot)以表示其之頻率響應。波德圖應包含 增益(gain)與相位(phase)兩個圖。(10 分)
#305824
⑴在接受一恆定電壓 5 V,馬達從靜止開始轉動,量測馬達穩態轉速為 600 rpm(revolution per minute)。則此馬達轉移函數中兩個參數 a 與 b 應各為何?(20 分)
#305825
⑵ 在 馬 達 剛 開 始 啟 動 的 初 始 狀 態 時 , 其 轉 動 之 角 加 速 度 ( angular acceleration)為何?(5 分)
#305826
⑴當 K 值為 1 時,此控制系統之增益交越頻率(gain crossover frequency) 與相位邊界(phase margin)各為何?(10 分)
#305827
⑵欲使此控制系統對於單位斜坡(unit ramp)輸入的穩態誤差(steady state error)為 0.05,K 值應如何設計?(5 分)
#305828
⑶欲使此控制系統之相位邊界為 45°,K 值又該如何設計?且增益交越頻 率該為何?(10 分)
#305829
相關試卷
115年 - 115 關務特種考試_三等_機械工程(選試英文):自動控制#138983
115年 · #138983
114年 - 114 高等考試_二級_機械工程:自動控制學#131590
114年 · #131590
114年 - 114 關務特種考試_三等_機械工程(選試英文):自動控制#126653
114年 · #126653
113年 - 113-2 國營臺灣鐵路股份有限公司_從業人員甄試_第8階-助理工程師-電機:自動控制#137141
113年 · #137141
113年 - 113 高等考試_二級_機械工程:自動控制學#123065
113年 · #123065
113年 - 113 關務特種考試_三等_機械工程(選試英文):自動控制#119475
113年 · #119475
112年 - 112 地方政府特種考試_三等_機械工程:自動控制#118354
112年 · #118354
112年 - 112 高等考試_二級_機械工程:自動控制學#116760
112年 · #116760
112年 - 112 高等考試_三級_機械工程:自動控制#115741
112年 · #115741
112年 - 112 關務特種考試_三等_機械工程:自動控制#113920
112年 · #113920