阿摩線上測驗
登入
首頁
>
控制系統
>
97年 - 97 高等考試_二級_電力工程:控制系統#48859
> 申論題
題組內容
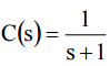
一、有一個單位回饋控制系統如下圖所示:
其中受控體為
,則 ,控制器為
⑵利用魯斯法則(Routh’s Criterion)判定此系統是否穩定?(15 分)
相關申論題
⑴此系統輸出對輸入的轉移函數(transfer function)為何?(10 分)
#170684
⑴證明終值定理(Final Value Theorem): 若 ,其中 F(s)=ℒ{f(t)},即 F(s)是 f(t)的拉普拉斯轉換(Laplace transform)。(15 分)
#170686
⑵考慮以下四個函數的拉普拉斯轉換 各函數的終值為 f1 (∞ ) 、 f 2 (∞ ) 、 f 3 (∞ ) 與 f 4 (∞ ) ,其中那些終值可以利用終值定理 來計算?其值為何?(10 分)
#170687
⑴畫出∞>K≥0 時之根軌跡圖(root locus),在圖中必須標示極點、根軌跡與實軸 的交點、根軌跡與虛軸的交點等的複數值,以及這些點相對應的 K 值。(15 分)
#170688
⑵利用根軌跡圖說明系統的穩定性。(10 分)
#170689
⑴令狀態向量 x = ,若系統狀態方程式為 = Ax + bu ,輸出方程式為 y = cx ,其 & ⎢ ⎥ ⎢x 3 ⎥ ⎣ ⎦ 中 A、b 與 c 之矩陣大小分別為 3×3、3×1 與 1×3,則 A、b 與 c 三個矩陣為何? (15 分)
#170690
⑵此系統是否具有狀態可觀測性(observability)?(10 分)
#170691
(三)試運用奈奎斯特法則(Nyquist stability criterion),判定此系統之穩定度。 (10 分)
#554274
(二)試繪出此系統之奈奎斯特圖(Nyquist plot)。(10 分)
#554273
(一)試繪出此開迴路系統之波德圖(Bode plot)。 (10 分)
#554272
相關試卷
114年 - 114 高等考試_二級_電力工程:控制系統#131606
114年 · #131606
113年 - 113 高等考試_二級_電力工程:控制系統#123078
113年 · #123078
112年 - 112 高等考試_二級_電力工程:控制系統#116766
112年 · #116766
111年 - 111 高等考試_二級_電力工程:控制系統#111038
111年 · #111038
110年 - 110 高等考試_二級_電力工程:控制系統#101931
110年 · #101931
109年 - 109 高等考試_二級_電力工程:控制系統#91548
109年 · #91548
108年 - 108 高等考試_二級_電力工程:控制系統#79579
108年 · #79579
107年 - 107 第十八屆TAIROA社團法人台灣智慧自動化與機器人協會_自動化工程師證照考試_Level 2/機器人中階:控制系統#72749
107年 · #72749
107年 - 107 高等考試_二級_電力工程:控制系統#72396
107年 · #72396
106年 - 106 高等考試_二級_電力工程:控制系統#65249
106年 · #65249