題組內容
二、5 位某校統計系大一學生之微積分成績(X)及統計學成績(Y)如下表所示:
今已求得: ∑ x = 202 , ∑ y = 336 , ∑ x 2 = 9,462 , ∑ y 2 = 22,870 , ∑ xy = 14,185 。
⑶試求微積分成績及統計學成績之 Spearman 等級相關係數(Spearman’s rank- correlation coefficient)(6 分) 。
詳解 (共 2 筆)
hchungw
詳解 #3869782
在 統計學中, 以查爾斯·斯皮爾曼命名的斯皮爾曼等級相關係數, 經常用希臘字母 ρ (rho) 表示。 它是衡量兩個變量的依賴性的 無母數 指標。 它利用單調方程評價兩個統計變量的相關性。 如果數據中沒有重複值, 並且當兩個變量完全單調相關時,斯皮爾曼相關係數則為 +1 或 -1 。
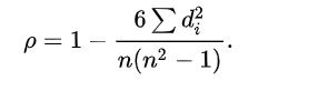
實際應用中, 變量間的連結是無關緊要的, 於是可以通過簡單的步驟計算 ρ.[被觀測的兩個變量的等級的差值
, 則 ρ 為
X,Y的排名

ρ=1-6*0/(5*24)
=1
黃韻親
詳解 #2328693
一二三次我擃窩鍋鍋鍋鍋鍋鍋鍋
(共 16 字,隱藏中)
前往觀看
私人筆記 (共 1 筆)
Terry Tung
私人筆記 #4126418