阿摩線上測驗 登入

申論題資訊

試卷:111年 - 111 台灣電力公司_新進僱用人員甄試:專業科目 B(機械原理)#107779
科目:台電◆機械原理
年份:111年
排序:0

申論題內容

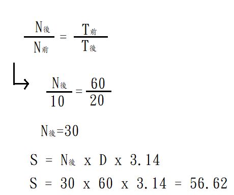
11.有一台腳踏車,輪胎直徑為 60 cm,其前後方鏈輪齒數分別為 60 齒及 20 齒,當騎士踩腳踏板 10 圈後,腳踏車可前進______公尺。(圓周率 = 3.14)

詳解 (共 2 筆)

詳解 提供者:dvd9050787
詳解 提供者:Cheng

傳動速比 公式:N/N=T/T
傳動速度 公式:V=π*D*N
D:直徑
N:轉速
T:齒數

輪胎直徑為 60 cm,表示D=60 cm
前後方鏈輪齒數分別為 60 齒及 20 齒,表示T=60、T=20
當騎士踩腳踏板 10 圈後,表示N=10 rpm

帶回公式
10/N=20/60
N=30 rpm

V=π*D*N
V=3.14*60*30=5652 cm=56.52m