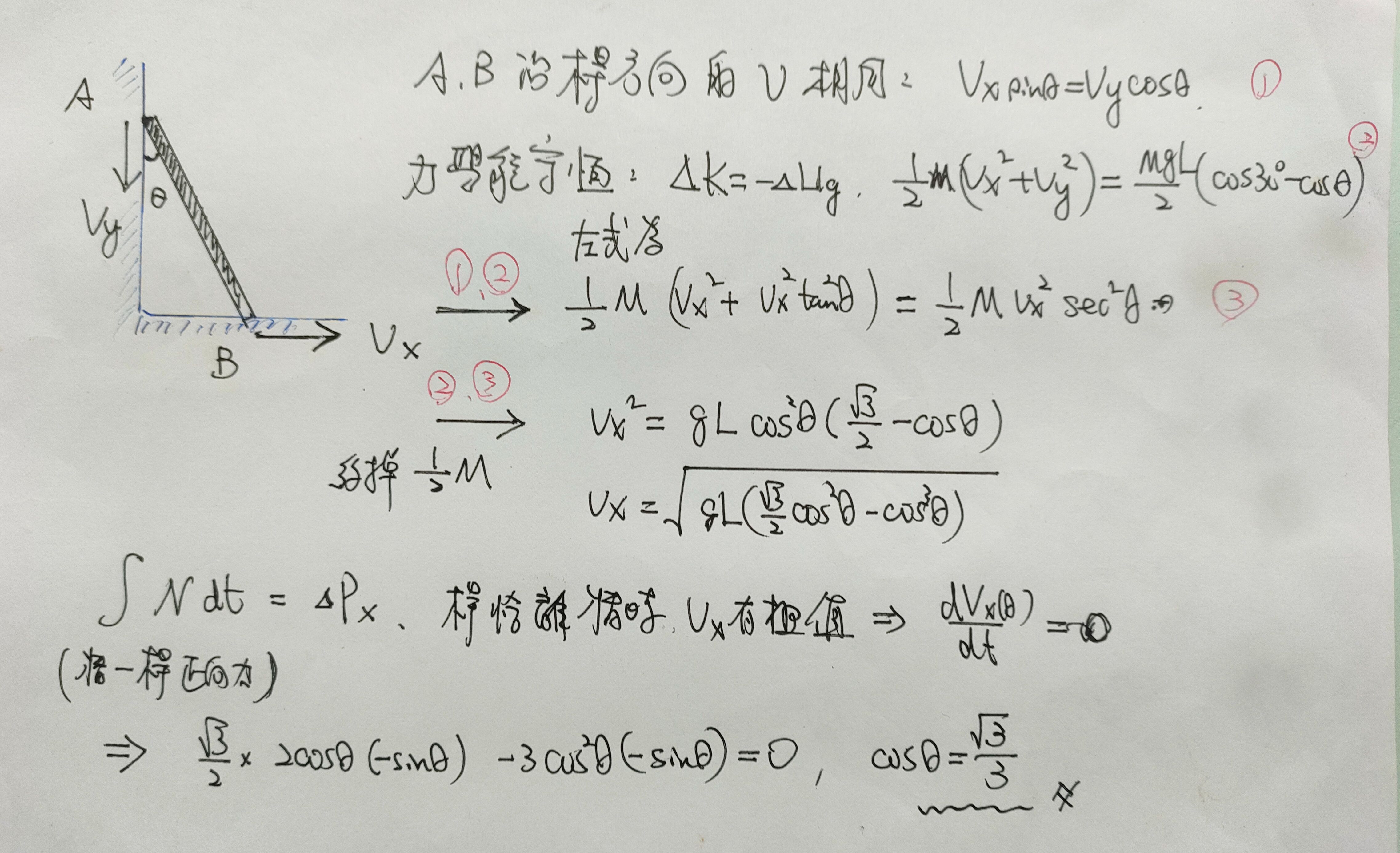
11. 均勻細桿 L,質量 M,兩端靠在光滑牆壁和地面,如圖所示,使其由靜止下滑,若起始夾角α= 30°,則當夾角θ時,桿與牆開始分離,試問cosθ=?
詳解 (共 1 筆)
詳解

11. 均勻細桿 L,質量 M,兩端靠在光滑牆壁和地面,如圖所示,使其由靜止下滑,若起始夾角α= 30°,則當夾角θ時,桿與牆開始分離,試問cosθ=?
