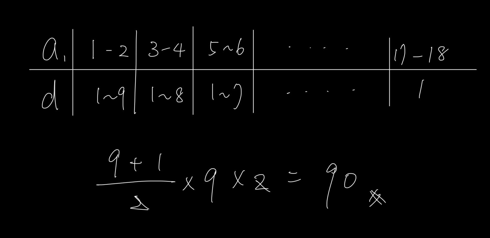
14. 從 1 到 20 的 20 個整數中,取出相異的 3 個數a、b、c,使其成為等差數列,且a<b<c,則( a, b, c )的取法有
種。
詳解 (共 1 筆)
詳解
14. 從 1 到 20 的 20 個整數中,取出相異的 3 個數a、b、c,使其成為等差數列,且a<b<c,則( a, b, c )的取法有
種。