阿摩線上測驗
登入
首頁
>
教甄◆數學
>
115年 - 115-1 臺南市立沙崙國際高級中學高中部_教師甄選試題:數學科#138673
> 申論題
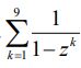
4. 設複數 z 滿足 z
10
=1 且 z ≠1 ,試求
。
相關申論題
1. 已知| logx | = ax +b 的三個實根成等比且公比為 2 ,試求 10b 的值。
#568116
2. 如下圖,在 3✖3 方格中,隨機塗上紅色、黃色及綠色,且每種顏色各占 3 格,試求出現「賓果」(即某一橫列、直行 或對角線的顏色完全相同)的機率。
#568117
3. 設實數 x 、 y 滿足x2+y2 = 4 ,試求x3+y3-3xy的最大值。
#568118
5. 設 n 為正整數,若 xn除以 ( x-2)( x-3)(x-4 ) 的餘式為 R (x) ,試求 。
#568120
6. 設實係數多項式函數f ( x)ax2+(2-a)= + −2 ,其中 − 1≤a ≤2 。在坐標平面上,令Γ 為 y =f (x ) 與 x 軸在 − 1≤ x≤1 所圍的區域。又令 V 為 Γ 繞 x 軸旋轉所得旋轉體的體積。試求體積 V 的最大值。
#568121
7. < an >滿足 ,則a300 =_________。
#568122
8. 下圖為一邊長 8 的正立方體包裝盒展開圖,在盒底正中央擺上底面正方形邊長為 6,側面腰長為 3 √6 的四角錐,試 問包裝後正四角錐頂點 A 與正立方體頂點 B 的距離=_______________。
#568123
9. 台南沙崙智慧綠能科學城正在舉辦「智慧自駕車迷宮挑戰賽」,目的是推廣人工智慧與智慧交通的科教應用。小安設 計的自駕小車 Tesala(特沙拉) 參賽,並安裝了左、右兩個距離感測器,決策邏輯如下: (1)當只有正前方有障礙物時,Tesala 會隨機選擇向左轉(L)或向右轉(R),且機率各為 50%。 (2)統計資料顯示,在沙崙智慧綠能科學城的模擬迷宮中,Tesala 遇到障礙物的情況(事件 O)佔總行駛時間的 30%。 (3)在遇到障礙物的情況下,約有 25% 的機率是左側同時也有障礙物(事件 A)的棘手狀況。 (4)另外,在未遇到障礙物的情況下,仍有約 0.4% 的機率因感測器誤判或環境干擾而顯示「左側有障礙物」。 問題: 若某次比賽中,Tesala 突然進行了左轉避障。請填寫在「左側有障礙物」的條件下,Tesala「遇到障礙 物」的機率為 _____________(四捨五入到小數第 3 位)。
#568124
10. 二數列⟨an ⟩、⟨bn ⟩具有a1 = 1、b1 = 1,且∀n ∈ N, ,求an + bn =_________。
#568125
11. 複數平面上A(α)、B(β)、C(γ),已知 ,求|α − β|=________。
#568126
相關試卷
115年 - 115-1 臺北市立中正高級中學_專任教師甄選初試試題:數學科#138690
115年 · #138690
115年 - 115-1 國立羅東高中_教師甄選初試︰數學科#138675
115年 · #138675
115年 - 115-1 臺南市立沙崙國際高級中學高中部_教師甄選試題:數學科#138673
115年 · #138673
115年 - 115-1 國立蘭陽女子高級中學_教師甄選試題︰數學科#138666
115年 · #138666
115年 - 115-1 新竹縣立湖口高中_正式教師甄選試題:數學科#138653
115年 · #138653
115年 - [無官方正解]115-1 國立屏科實驗高級中等學校_教師甄選:高中數學科#138645
115年 · #138645
115年 - 115-1 國立屏科實驗高級中等學校_教師甄選試題:國中數學科#138641
115年 · #138641
115年 - 115-1 國立嘉科實驗高級中學_教師甄選試題_高中部:數學科#138615
115年 · #138615
115年 - 115-1 臺北市立大同高級中學_教師甄選初選試題:高中數學科#138591
115年 · #138591
115年 - 115-1 臺北市立大安高工教師甄選試題:數學科#138455
115年 · #138455