阿摩線上測驗
登入
首頁
>
教甄◆數學
> 100年 - 南臺灣國中策略聯盟(高東嘉縣市)數學科試題#21200
100年 - 南臺灣國中策略聯盟(高東嘉縣市)數學科試題#21200
科目:
教甄◆數學 |
年份:
100年 |
選擇題數:
50 |
申論題數:
0
試卷資訊
所屬科目:
教甄◆數學
選擇題 (50)
1. 多項式 x
4
+ x
2
+ ax -6 被 x+2 所除的餘數是 8,a 的值為(A) 3 (B) 4 (C) 0 (D) -4
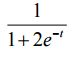
2. 有理函數
的圖形是 (A) 雙曲線 (B) 拋物線 (C) 一直線 (D) 一直線,但少一點(1,2)
3. 以 i 表示虛數單位, i
2
= -1 ,這時
=? (A) 1024 (B) -1024 (C) 1024 i (D) -1024 i
4. 若
,則 x
2
為 (A) 7 (B) 49 (C) 16 (D) 28
5. 設 a 是實數,且二次方程式 x
2
+ ax -2a-4 = 0 只有一實根,a 的值為 (A) 4 (B) -4 (C) 2 或-2 (D) 3 或-1
6. 在一次抽獎活動中,只有一個頭獎,而總共有 10 人排隊抽獎,小明排第 4 位,小明抽中頭獎的機率是 (A) 1/40(B) 1/30 (C)1/20 (D) 1/10
7. 空間中的兩平面,交集不可能是 (A) 一平面 (B) 一直線 (C) 一點 (D) 空集合
8. 若一正整數 P 可以表示為 m
2
+ n
2
,其中 m,n 也是正整數,下面哪一種情形不會發生 (A) P 可表示為 4k 的形式, k 是正整數 (B) P 可表示為 4k+1 的形式, k 是正整數 (C) P 可表示為 4k+2 的形式, k 是正整數 (D) P 可表示為 4k+3 的形式, k 是正整數
9. 在
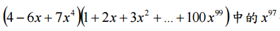
的範圍內,2cos Θ +sin Θ 的最大值是 (A) 3 (B) 2 (C) √3 (D) √5
10. log
0.2
625 = (A) 4 (B) -4 (C) 1/4 (D) -1/4
11. 設 a,b,c,d 是實數,且滿足
則 d 的值為(A) -3 (B) -1 (C) 1 (D) 3
12. 極限
的值為 (A) 1 (B) 0 (C) ∞ (D) 1/2
13.
,則
的值為 (A) 0 (B) 1 (C) -1 (D) 2 + √2
14. 二次方程式 x
2
- x - 5 = 0 的兩根為 α,β ,則 α
2
+ β
2
的值為 (A) 11 (B) -9 (C) 10 (D) -11
15. 設 x,y 是實數,在 2x+y=3 的條件下, x
2
+ 2y
2
的最小值為 (A) 4 (B) 3 (C) 2 (D) 5
16. 設 Θ 是第二象限角且 sinΘ = 1/3,則 tanΘ 的值為 (A) 2 √2 (B) - 2√2 (C) √2 /4(D) -√2/4
17. 解對數方程式
,得出 x 值為 (A) -2 或 5 (B) 5 (C) -3 或 4 (D) -3
18. 給定 log 2 = 0.30103 ,把 2
1000
表示為 10 進位的整數時,位數是 (A) 300 (B) 301 (C) 302 (D) 303
19. 設 a,b 是實數,三次方程式 x
3
+ ax
2
+bx +5 =0 有一根是 2 + i ,則 a 的值為 (A) 3 (B) -3 (C) 2 (D) -2
20. 設 w 是 1 的一虛立方根,則
的值為 (A) -1 (B) 1 (C) 3 (D) -3
【已刪除】21. 在
的範圍內,
的最小值為 (A) 0 (B) 1 (C) 1/2 (D) 3/4(E)送分
22. 座標平面上, △ABC 的重心在 G(2,4),又頂點 B,C 的座標分別為(2,3)、(3,4),頂點 A 的座標是 (A) (2,5) (B) (1,5) (C) (3,5) (D) (4,5)
23. 空間中,一平面通過 A(1,0,0)、B(0,-1,0)、C(0,0,2),原點 O(0,0,0)到這平面的距離是 (A)
(B)
(C)2/3 (D)1/3
24. 正整數 504 的偶數正因數的個數為 (A) 24 (B) 18 (C) 21 (D) 20
25. 座標平面上,點
化成極座標為 (A)
(B)
(C)
(D)
26. 設 y 為 x 的可微函數,且滿足
。求
. (A)
(B)
(C)
(D)
27. 求
(A) 1 (B) -1 (C) 0 (D) 2
28. 下列那一個函數的展開為
(A) ln x(B) tan x(C) sin x(D) cos x
29. 下列那一個函數為方程式
的解? (A) e
2x
(B) e
4x
(C)
(D)
30. 求乘法群 U(15) ={1,2,4,7,8,11,13,14 } (modulo 15)中元素 7 的 order. n(A) 4 n(B) 6 n(C) 7 n(D) 8
31. 令
,求
(A)
(B)
(C)
(D)
32. 求
(A) π (B)√π/2 (C) √π (D) 發散不存在
33. 令
,求最小正整數 n 使得 M
n
=0. (A) 2 (B) 3 (C) 4 (D) 5
34. 求
(A) 18 (B) 12 (C) 9 (D) 6
35. 連續函數在下列哪一個集合上一定可以取到最小值? (A) (-∞ ∞, ) (B) [0,∞) (C) (0,1) (D)
36. 求級數和
. (A) 1/ 4 (B) 1/3 (C) 1 (D) 2
37. 改寫
。求 A + B + C . (A) 0 (B) 1 (C) 2 (D) 4
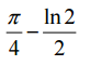
38. 求級數和
(A) ln 2 (B) lnπ (C) /4 (D) π
2
/2
39. 下列哪一個函數為微分方程式
的解? (A)
(B)
(C)
(D) 以上皆是
40. 求點 (1,0, -2) 到平面 x + 2y+ z = 4 的最短距離。
(A)
(B)
(C) 5
(D)
41. 下列哪一點為函數
的 saddle point? (A) ( -1, - 1) (B) (1,1) (C) (0,0) (D) 以上皆是
42. 求函數
在圓 x
2
+ y
2
=1 上的最大值 (A) 1 (B) 2 (C) 4 (D) 不存在
43. 求
(A) 1/e (B)
(C)
(D) 發散不存在
44. 求
(A) 1/ 5 (B) 2/ 5 (C) π/5 (D) 2π/5
45. 求乘積
係數: (A) 254 (B) 256 (C) 396 (D) 468
46. 求
(A) π/8 (B) π/4 (C)
(D) 發散不存在
47. 求
(A)
(B)
(C)
(D)
【已刪除】48. 矩陣
(A)
(B)
(C)
(D) 因為 M 不對稱,所以不可以 對角線化
49. 求矩陣
50. 令V ={ p(x) | p(x) 為複係數多項式,且deg(p(x))
3} ,則dim
R
V 為 (A) 3 (B) 4 (C) 8 (D) 無法定義
申論題 (0)
相關試卷
114年 - 114 國立臺灣藝術大學教育學程招生考試_綜合學科:數學#137131
114年 · #137131
114年 - 114 高雄市市立國民小學教師聯合甄選-專長類-普通科目試題:數學#131662
114年 · #131662
114年 - 114 澎湖縣國民小學暨附設幼兒園教師/代理教師甄選試題:數學#131655
114年 · #131655
114年 - 114 文藻外語大學師資培育中心__國民小學教師教育學程新生甄選試題:學科基本知識-數學#130715
114年 · #130715
114年 - 114-1 臺北市立復興高級中學_專任教師甄選試題:數學科#129383
114年 · #129383
114年 - 114-2 新竹市國民中學教師聯合甄選初試試題:數學科#128201
114年 · #128201
114年 - 114 臺南市市立國民中學_正式教師聯合甄選試題:數學專門科目#128066
114年 · #128066
114年 - 114 桃園市國民中學新進教師聯合甄選試題:數學科#127820
114年 · #127820
114年 - 114-2 國立嘉義高級中學_教師甄選:數學科#127613
114年 · #127613
114年 - 114 中區縣市政府教師甄選策略聯盟:國小數學科#127528
114年 · #127528