所屬科目:教甄◆物理科專業
2.在下圖的阿特午機中,兩木塊的質量為M、m,且M>m。今將木塊M釋放後,定滑輪開始轉動。已知定滑輪的半徑為R、轉動慣量為I,且定滑輪的轉軸光滑,則當兩木塊離地的高度相同時,定滑輪所受的合力矩為_______。
3.密度相同之木塊A、B、C,長度分別為10cm、8cm、4cm,(x1=2cm)且截面積相同,靜置如圖, 則x2之最大值為____________cm。(圖形僅供參考)
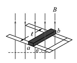
8. 角柱形銅條質量為m、電阻為R、長度為 ,水平放在傾斜度為θ的兩平行軌條上,軌條相距且光滑無摩擦力,有鉛直向上之均勻磁場B作用於此區域,則此銅條下滑的最大速率為________。
13. 如右圖,一長度為L,電阻率為ρ的中空圓柱筒導體,其內圓柱體的半徑為a, 外圓柱體的半徑為b,若電流由圓柱體內沿徑向往外流出,則中空圓柱筒的電阻為________。
14. 如右圖,電動勢V=10.0 伏特,S是開關,R1 = 1.0 Ω,R2 = 8.0Ω,R3=4.0Ω,R4 = 2.0Ω,電容C = 1.0 μF,當t = 0時,S關上,經很長的時間後,此時 電容C二端的電壓為________伏特。
15.一水龍頭的水流出時,截面積 為1.0cm2,而水流鉛直流至6cm(h=6cm)的低處時,其水的截面積A2為0.2cm2,則水龍頭的流量速率為________cm3/s。(重力加速度g=9.8m/s2)
16.將一質量為m,半徑為r,厚度為d的均勻圓盤,以一初速,使其在一斜角為θ的固定粗糙長斜面上純滾動上升,若重力加速度為g,則物體所受摩擦力為________。(定沿斜面向下為正)
17.有A與B兩均勻圓盤,質量分別為m與2m,半徑分別為5r及8r,置於光滑水平面上。若A 圓盤以對B圓盤圓心角動量量值為5rmv運動,與靜止B圓盤發生彈性碰撞,則碰撞後B圓盤速率為________。
19.如下圖,一條均勻的細圓形空心管,鉛直放置於平面上,將A、B兩 種不相溶液體注入管內,若A、B兩種溶液體積比為1:3,密度比 為1:2,且液體總體積為圓形空心管的一半。當平衡時界面和圓心的連線,與鉛垂線夾θ角,則tanθ為________。(圖形僅供參考)
25.有一U型管,內裝有密度分別為ρ1 與ρ2 (ρ1 >ρ2 )之液體。在右管施一外力使兩 液面等高時,密度為ρ1 的液體長度為3 ,密度為ρ2 的液體長度為 ,則當移去此外力時,右管內液體做簡諧運動週期為________。(U型管截面積為A)
26.已知波耳氫原子模型的第一基本假設為電子的角動量L須滿足條件 ,其中n為一正整數,稱為主量子數,h為普朗克常數。則原子系統總力學能En =__________。 (庫侖常數為k,電子質量為m,質子與電子帶電量值皆為e)
29.一長方形金屬線圈,寬度為 、高度為h、質量為m。線圈之上端在一均勻 磁場區內,磁場之量值為B,方向為垂直進入紙面。線圈由靜止開始,受 重力作用而向下運動,設線圈之電阻為R、則在線圈上端未離開磁場區前 ,線圈速率v與時間t的關係為v=____________。
30.承上題,若磁場B甚小,則落下距離y與時間t的關係可寫為 y=gt2 -________。