所屬科目:高中指考◆數學甲
1. 考慮坐標平面上滿足 2x=5y的點P(x,y) ,試問下列哪一個選項是錯誤的? (A) (0,0)是一個可能的P點 (B) (log5,log2)是一個可能的P點 (C) 點P(x,y) 滿足xy≥0 (D) 所有可能的點P(x,y)構成的圖形為一直線 (E) 點P的x,y坐標可以同時為正整數
2. 將1 、2 、3 、4 四個數字隨機填入右下方2✖2的方格中,每個方格中恰填一數字,但數字可重複使用。試問事件「 A方格的數字大於B方格的數字、且C方格的數字大於D方格的數字」的機率為多少?(A) (B) (C) (D) (E)
3. 將一圓的六個等分點分成兩組相間的三點,它們所構成的兩個正三角形扣除內部六條線段後可以形成一正六角星,如圖所示的正六角星是以原點O為中心,其中分別為原點O到兩個頂點的向量。若將原點O到正六角星 個頂點的向量,都寫成為的形式,則a+b的最大值為何?
(A)2 (B)3(C)4(D)5(E)6
4. 設f為實係數三次多項式函數。已知五個方程式的相異實根個數如下表所述:關於f的極小值a ,試問下列哪一個選項是正確的?註:極小值是指相對極小值,或稱為局部極小值。
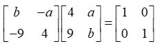
5. 設 且A的行列式之值為 ,試問下列哪些選項是正確的? (A)9a-4b=-2(B)ac=-24 (C)b=-15(D)
7. 在坐標空間中,有一邊長為2 、中心在原點O的正立方體,且各稜邊都與三坐標平面平行或垂直,如圖所示。已知A(1,-1,0) 、B(0,1,-1) 、C(-1,0,1) 這三點都是某平面E和正立方體稜邊的交點。試問下列哪些點也是平面E和正立方體稜邊的交點? (A) (B)(-1,1,0)(C)(0,-1,-1)(D)(-2,1,1)
A. 如圖所示, PQRS為一給定的矩形,長,而△ABC為等腰三角形,其中 ,P 、Q 在邊上,R 、S 分別在 邊上,則當△ABC中邊上的高為__⑧⑨__ 時,△ABC的面積為最小。
B. 某手機公司共有甲、乙、丙三個生產線,依據統計,甲、乙、丙所製造的手機中分別有5%,3%,3%是瑕疵品。若公司希望在全部的瑕疵品中,由甲生產線所製造的比例不得超過,則甲生產線所製造的手機數量可占全部手機產量的百分比至多為__⑩⑪__ %。
(1) 平面E與平面F:x+y+z=1有一夾角為30° ,
(3) a+b+c>0, 則a+b+c的值為 。(化成最簡分數)
(2) 試求定積分之值。(6分)
(1) 試求所有滿足log(x3-12x2+41x-20)≥1 的x值之範圍。(6分)
(2) 試證:當時, 3cosθ≥31+sinθ。(6分)