阿摩線上測驗
登入
首頁
>
教甄◆數學專業
> 104年 - 玉井工商 第一次#21421
104年 - 玉井工商 第一次#21421
科目:
教甄◆數學專業 |
年份:
104年 |
選擇題數:
4 |
申論題數:
23
試卷資訊
所屬科目:
教甄◆數學專業
選擇題 (4)
複選題
1.設P(x)為一個八次多項式,若
,則下列敘述 n 何者正確? (A)方程式xp(x) -1 = 0恰有9個整數根(B) p(x)的x
7
項係數為-45 (C)p(10)=1/10 (D)p(11) = l
複選題
2.設
.當a為下列哪些值時,會使得f(a)< 0 ?(A)√3 (2)圓周率π (3)
(4)log500 •
複選題
3.下圖是參數為X ~ B(20,p) 的二項分布(即重複做成功機率為P的伯努利試驗 20次,其中成功的次數為X)的機率分布圖: 若期望值為E(X),請選出正確的選項:
(A)0.5 < p < 0. 6 (B)0.6 < p < 0.7 (C)E(X)=13 (4) X的標準差小於4 .
複選題
4.已知為
複數等比數列,且
,其中a,b 為實數 且a>0 .選出正確的選項:(A)
(B)Z
10
為實數(C)z
12
.z
14
=4 (D)數列前 12 項的和 z
1
+z
2
+........ + z
12
=0 •
申論題 (23)
【已刪除】1.
【已刪除】2已知二次函數如
, 則f(X)最大值為?
【已刪除】3.設坐標平面上兩點A(0,9)、B(0,12),若點A'、B'在直線y=x上 , 且
交於點C(2,8 ),試求
的長度為?
【已刪除】4.設x為任思實數,求
的範圍為?
5.曱箱内有2白球,乙箱内有三紅球,現在每次自各箱中隨機取一個球交換,令 先表有y個紅球在曱箱内之事件,求在交換二次後,有二紅球在曱箱内之機率 為?
6. 一列火車有10節車廂,設計師依下列條件來規劃: (1)在其中兩節車廂設立無障礙座位,此兩車廂要相鄰; (2)在其中5節車廂設有廁所,設立廁所的車廂彼此不相鄰; (3)在其中3節車廂設立販賣機,但不能與廁所設在同一車廂; 若同時依照此三條件,這列火車有幾種的配置方式?
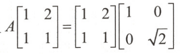
【已刪除】7.設A二階方陣,滿足
,求矩陣A
8
=?
【已刪除】8.設A、B、C、D為數線上四相異點,P、Q分別在
【已刪除】9.已知三次函數
,求f(x)=?
【已刪除】10.空間中有四點,A(0,1,0),B(4,6,3),C(l,2,l) ’ D(l,-2,-3)求包含
且平分四面體ABCD之平面方程式?
II.由兩曲線y=2x
2
,y=4x又所圍之區域為S,則區域S繞x軸一周所得的旋轉體 體積為?
12.如右圖為一長28,寬15的長方形ABCD,P為
上一點•
13 如附圖,正方形 ABCD,M為BC的中點
【已刪除】14,設ABCD-EFGH為一長方體(如圖),其中
設半平面ABFE與半平面BDHF所成二面角的度量θ,求sinθ之值=?
【已刪除】15 設數列<an>的首頁a1=1 , 且滿足
【已刪除】16
【已刪除】如圖,OABC為一矩形,
【已刪除】18.A(1,0)、B(-1,0)、圓C:(x-3)
2
+(y-4)
2
=4 上一點P,求
之最大值?
19.若多項式 a(3x - 5)
5
+ b(3x - 5)
4
+ c(3x - 5)
3
+ d(3x - 5)
2
+ e(3x - 5) + k =(5x + l)
5
- 4(5x + l)
4
-72(5x + l)
3
- 56(5x + l)
2
+ 15(5x + 1) + 10, a,b, c, d, e, k為實數,試求a+b+c+d+e+k=?
【已刪除】20.求極限:
【已刪除】1.若x、y、z為正數,則方程組
的解(x,y,z)=?
2.在△ABC中,已知∠A= 60°,且最大邊與最小邊為方程式3x
2
-21x + 13 = 0的兩根, 則△ABC的外接圓半徑為?
【已刪除】3.
,x + y =x
2
+ y
2
,求;x
3
+y
3
的最大值及最小值。
相關試卷
115年 - 115 國立高科實驗高級中等學校_專任教師甄選_國中部︰數學領域數學專長#138920
115年 · #138920
114年 - 114-1 臺北市立松山高級商業家事職業學校_教師甄選題目:數學#138394
114年 · #138394
114年 - 114 新北市立國民中學_教師聯合甄選試題: 數學科#127346
114年 · #127346
114年 - 114 國立臺灣藝術大學_綜合學科測驗﹕數學#126930
114年 · #126930
114年 - 114 國立彰化高級中學_教師甄選初試試題:數學科#126821
114年 · #126821
114年 - 114 臺北市立陽明高級中學_正式教師甄選試題:高中數學科#126749
114年 · #126749
114年 - 114 國立師大附中_教師甄選︰數學#126229
114年 · #126229
113年 - 113 金門縣國民中學正式教師聯合甄選初試試題:數學#120861
113年 · #120861
113年 - 113 新北市公立高級中等學校教師聯合甄選試題:數學#120730
113年 · #120730
113年 - 113 桃園市國民中學新進教師甄選試題:數學科#120523
113年 · #120523