所屬科目:專科學力鑑定◆專(一、二):電子學
3. 如圖(一)所示利用二極體組成之邏輯電路,輸入為A、B,輸出為VO,則此電路之功能為何? (A) OR閘 (B) AND閘 (C) NOR閘 (D) XNOR閘
4. 如圖(二)所示電路,假設二極體之順向導通電壓VF=0.7V,當Vi=7V時,求Vo=?(A) 4.65V (B) 5.3V (C) 6.7V (D) 7.0V
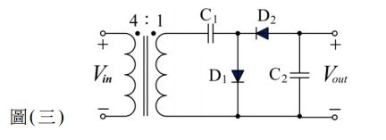
5. 如圖(三)之電路,, 下列敘述何者正確? (A) Vout的漣波頻率為 120 Hz (B) 二極體D1的最大逆向偏壓為60V (C) 電容器C1的耐壓至少為60V以上 (D) Vout的輸出電壓為+60V
6. 如圖(四)所示之輸入輸出波形,下列敘述何者最有可能發生? (A) 電路正常動作 (B) R 開路 (C) D1開路 (D) D2開路
9. 如圖(五)所示,稽納二極體之稽納電壓為7.5V,則輸出電壓Vo為何?(A) 12V (B) 10V (C) 7.5V (D) 5V
14. 如圖(六)所示,假設VBE ( on)=0.7V、β=100時,求VC =? (A) 3.87V(B) 2.72V (C) 6.48V (D) 5.40V
15. 分壓式電晶體偏壓電路如圖 ( 七 ) 左圖所示,其戴維寧等效電路,如圖 ( 七 ) 右圖所示。 其等效電路中之VB與RB分別為多少? (A) 4V、33.3KΩ (B) 12V、60KΩ (C) 8V、40KΩ (D) 4V、20KΩ
17. 如圖(八)所示,已知電晶體 β=100、VT=25mV,試求中頻電壓增益AV =vo / vi? (A) -256(B) 256 (C) -225 (D) 225
20. 如圖(九)所示之電路,M1電晶體之臨界電壓(Threshold Voltage )VT =1V、K=8mA/V2 , M2電晶體之臨界電壓(Threshold Voltage )VT =2V、K=2mA/V2 。試求A 點之直流電壓約 為何? (A) 2V (B) 4V (C) 6V (D) 8V
24. 如圖(十)之電路,工作點設置於VGS=- 2V,VDS=5V,ID =2mA,則RD與RS分別為何? (A) 2.5KΩ、1.5KΩ (B) 2KΩ、1.5KΩ (C) 1.5KΩ、2KΩ (D) 1.5KΩ、2.5KΩ
25. 如圖(十一)所示之電路,MOSFET的參數K=0.5mA/V2 、臨界電壓(Threshold Voltage ) 為2V,求其汲極電流ID與閘-源極電壓VGS最接近下列何值? (A) 3.65mA、4.7V (B) 3.25mA、5.5V (C) 1mA、10V (D) 1mA、2V
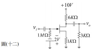
26. 如圖(十二)所示電路,已知JFET之IDSS=16mA,截止電壓(Cutoff Voltage )VGS( off)=- 4V, 汲極電阻參數rd=50KΩ,則其小訊號電壓放大vo / vi約為何? (A) - 1.3 (B) - 3.8 (C) - 4.3 (D) - 12.1
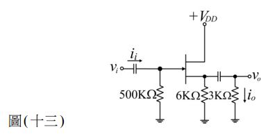
27. 如圖(十三)所示電路,若JFET之電導gm = 0.5 mA / V,r d = 50 K Ω,其小訊號電流增益i o / ii 約為何? (A) 1.5 (B) 81.7 (C) 166.6 (D) 250
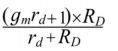
28. 如圖(十四)所示JFET共閘極放大電路,考慮JFET之汲極電阻參數rd,則vo / vi為何? (A) (B)(C) (D)
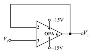
30. 利用運算放大器 741 所組成之電壓隨耦器 ( Voltage Follower ) ,電路圖如圖 ( 十五 ) 所示, 下列有關其特性敘述何者錯誤? (A) 電壓增益趨近於1 (B) 電流增益趨近於1 (C) 輸入電阻趨近於無窮大 (D) 輸出電阻趨近於零
31. 如圖(十六)所示理想運算放大器之應用電路,此電路之功能與RF的主要作用分別為何? (A) 積分電路、避免低頻雜訊的影響 (B) 積分電路、作為溫度補償使用 (C) 微分電路、避免低頻雜訊的影響 (D) 積分電路、避免高頻雜訊的影響
32. 如圖 (十七) 所示之電路,運算放大器具有理想之特性,其中 C = 1 µ F、 R = 1 M Ω,若 vi=0.01 sin1000 t 時,試求輸出電壓vo? (A) 10 cos 1000 t (B) 10 sin 1000 t (C) -0.01 cos 1000t (D) -10 cos 1000 t
33. 如圖(十八)所示之Vi波形,其Vo為何? (A) (B) (C) (D)
36. 如圖(十九)所示之濾波器應用電路,此電路為下列哪一類型的濾波器? (A) 低通濾波器(Low Pass Filter) (B) 高通濾波器(High Pass Filter) (C) 帶通濾波器(Band Pass Filter) (D) 帶拒濾波器(Band Rejection Filter)
37. 如圖(二十)之邏輯電路,輸出信號Y 之布林代數式為何? (A) 0 (B) 1 (C) A (D)
38. 兩個八位元邏輯變數A=11000011、B=01010101,則邏輯運算 結果為何? (A) 00010100 (B) 01000001 (C) 01111101 (D) 11010111
39. 圖(二十一)之邏輯電路,若輸入A3A2A1A0=1101,則輸出Y3Y2Y1Y0為何? (A) 1000(B) 1001 (C) 1010 (D) 1100
40. 圖(二十二)之邏輯電路,下列何者為其正確的反應? (A) A=0,B=0,Y=0
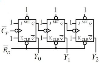
41. 圖(二十三)所示之計數器,是為何種漣波計數器? (A) 模數6 (MOD 6 )上數計數器 (B) 模數6 (MOD 6 )下數計數器 (C) 模數8 (MOD 8 )上數計數器 (D) 模數8 (MOD 8 )下數計數器
42. 如圖(二十四)之多諧振盪電路,是屬於哪一種振盪電路?其輸出的波形為何? (A) 無穩態多諧振盪器、方波 (B) 雙穩態多諧振盪器、正弦波 (C) 單穩態多諧振盪器、方波 (D) 單穩態多諧振盪器、正弦波
44. 如圖(二十五)所示的電路,若電晶體Q1與Q2特性完全匹配,則振盪的輸出Vo週期約為多少? (A) 2.8RC C (B) 1.4RC C (C) 2.8RBC (D) 1.4RBC
47. 下列電路符號所代表的元件名稱何者正確? (A) (B) (C) (D)
50. 如圖 (二十六)之UJT振盪器,其中UJT之本質內分比 (Intrinsic Standoff Ratio )η = 0.5, 試求此電路之振盪頻率約為何?(註:ln ( 2 ) =0.693 ) (A) 25Hz (B) 50Hz (C) 72Hz (D) 250Hz