所屬科目:專科學力鑑定◆專(一、二):電子學
2. 如圖 ( 一 ) 所示之電路,假設二極體均為理想二極體,則電路中之電解電容器 C,其最小 耐壓要多少伏特以上? (A) 5 (B) 10 (C) 15 (D) 25
3. 如圖(二)所示之電路,假設二極體均為理想二極體,則其輸出直流電壓Vo為多少伏特? (A) 110(B) 141 (C) 282 (D) 320
4. 如圖(三)所示之電路,假設D 為理想二極體,則輸出波形Vo為: (A) (B) (C) (D)
5. 如圖(四)所示之電路,若二極體為理想二極體,,則其輸出波形Vo為: (A) (B) (C) (D)
6. 如圖(五)所示之電路,若二極體為理想二極體,Vi(t)=10sin377tV,則輸出波形Vo為: (A) (B) (C) (D)
7. 如圖 ( 六 ) 所示之電路是由箝位電路與截波電路組成,假設二極體為理想二極體,若輸入 電壓Vi為一峰值5V的方波,則輸出電壓Vo之波形為: (A) (B) (C) (D)
8. 如圖(七)所示之截波電路,若二極體為理想二極體,則下列何者為其輸出電壓Vo與輸入 電壓Vi之轉換特性曲線? (A) (B) (C) (D)
11. 如圖 (八 )所示之電路,假設稽納二極體之 VZ= 10 V,則稽納二極體之最少額定功率應為 多少? (A) 200mW (B) 300mW (C) 500mW (D) 900mW
14. 如圖(九)所示之電路,若集極電流為4 mA,集極與射極間電壓為4 V,RC上電壓為4 V, VBE=0.7V,則RE約為多少? (A) 8 kΩ (B) 6 kΩ (C) 4 kΩ (D) 2 kΩ
15. 如圖(十)所示之電路,RB應為多少才能滿足Q點之條件? (A) 430 kΩ(B) 250 kΩ (C) 43 kΩ (D) 25 kΩ
16. 如圖(十一)所示之電路,下列敘述何者正確? (A) R1短路,VC =12V (B) R1斷路,VC =0V (C) R1斷路,VC =12V (D) R1短路,VC =0V
17. 如圖(十二)所示之電晶體放大器是哪一種放大電路? (A) 共汲極 (B) 共集極 (C) 共射極 (D) 共基極
25. 如圖(十三)所示之電路,若電路中的ID =2mA,VGS = – 3V,則RS為多少? (A) 2.5 kΩ(B) 4 kΩ (C) 5.5 kΩ (D) 7 kΩ
29. 如圖(十四)所示之電路,若gm =2mA/V,rd=30 kΩ,RD =20kΩ,則此電路之交流電壓 增益Av為何? (A) –100 (B) – 60 (C) – 40 (D) – 24
30. 如圖 ( 十五 ) 所示之電路,若 g m = 3.2 mA / V, r d = 20 kΩ, R D = 30 kΩ,則此電路之等效 輸出電阻Ro為何? (A) 12 kΩ (B) 20 kΩ (C) 30 kΩ (D) 50 kΩ
36. 如圖(十六)所示之理想 OP 運算放大器電路,若VCC =15V,vi =0.3 sin ( 100 t),Ri =20 kΩ ,在不發生飽和之情況下,Rf 最大值為何? (A) 200 kΩ (B) 400 kΩ (C) 600 kΩ (D) 1000 kΩ
37. 如圖 ( 十七 ) 所示之理想 OP 運算放大器電路,若 Rf = 100 kΩ, R1 = 10 kΩ, R2 = 20 kΩ, v1=1.2V,v2=– 2.4V,則vo=? (A) 4.0V (B) 2.4V (C) 0V (D) –1.2V
38. 如圖(十八)所示之理想 OP 運算放大器電路,Ri = 20 kΩ,Rf = 100 kΩ,若vi = sin ( 100 t) V ,則vo=? (A) – 5 sin ( 100t)V (B) – 0.5 sin ( 100 t)V (C) 5 sin ( 100t)V (D) 6 sin ( 100 t)V
39. 如圖(十九)所示之理想 OP 運算放大器電路,關於此電路之敘述何者不正確? (A) 此電路為積分放大器 (B) 此電路為低通放大器 (C) 此電路為微分放大器 (D) 此濾波電路之BW反比於Ri *Cf
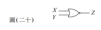
40. 如圖(二十)之NOR 邏輯閘電路,若X 之輸入為0,Y 之輸入時序信號為10110010(2 ),則 輸出信號Z=? (A) 11111111( 2 ) (B) 10110010(2 ) (C) 01001101(2 ) (D) 00000000( 2 )
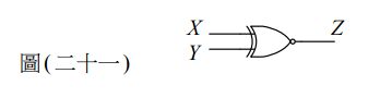
41. 如圖(二十一)之XNOR邏輯閘電路,若X 之輸入時序信號為11110000(2 ),Y 之輸入時序 信號為10110010(2 ),兩者時序同步,則輸出信號Z=? (A) 10110010( 2 ) (B) 11110000(2 ) (C) 10111101(2 ) (D) 00101011( 2 )
42. 一布林代數式Y =f(A,B)=Σ(1, 2 , 3) ,則Y =? (A) A+B (B) A.B (C) A (D) B
44. 如圖(二十二)所示之數位電路,若vi為96 kHz之TTL脈波訊號,則vo訊號之頻率為何? (A) 6 kHz (B) 8 kHz (C) 12 kHz (D) 16 kHz
45. 一放大器之電壓增益Av=20,欲以正回授方式形成振盪器,則此回授增益 β 之條件為何? (A) β ≥ 1 (B) β≥ 0.5 (C) β ≥ 0.1 (D) β ≥ 0.05
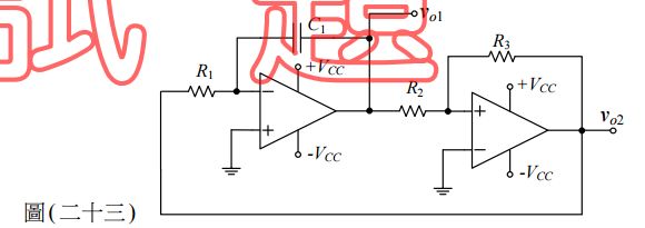
47. 如圖(二十三)所示之振盪器電路,當電路正常工作時,vo1之輸出波形為何? (A) 三角波 (B) 弦波 (C) 對稱方波 (D) 非對稱方波