阿摩線上測驗
登入
首頁
>
教甄◆數學
> 105年 - 新北市高中聯合甄選#51998
105年 - 新北市高中聯合甄選#51998
科目:
教甄◆數學 |
年份:
105年 |
選擇題數:
5 |
申論題數:
13
試卷資訊
所屬科目:
教甄◆數學
選擇題 (5)
1.若α、β、γ都是銳角,且tanα=1/2、tanβ=1/5、tanγ=1/8,則α+β+γ=?
2.不等式
集合為何? (A) (0,a] (B) (-a,a) (C)
(D)空集合
3.設△ABC是一個面積為5的直角三角形,∠B=90°,D、E分別在
上且
求DE之最小值為何?(A)20/7(B)12/7(C)16/7(D)18/7
4.若已知x
2
+y
2
+z
2
=
,x+y+z=
,試求(x+y)(y+z)(z+x)+xyz之值為何?(A)1/4(B)1/5(C)-1/5(D)-1/4
5.圓內接△ABC為正三角形,在劣弧BC上有一點P。若弦
交於點D,且
(A) 14 (B) 13 (C) 12 (D) 11
申論題 (13)
1.某個箱子中裝有紅、白、黃三種顏色的球,已知黃球的個數至多是白球個數的1/2,且黃球的個數至少是紅球個數的1/3。若箱子中白球與黃球的個數和不大於104,則箱子中至多有______個紅球。
2.令P= 1!×2!×3!×4!×5!×6!×7!×8!×9!×10!,請問P的因數有______個是完全平方數。
3.從[0.1]中任取兩數a、b,並令c=a+b。若A、B、C分別表示最接近a、b、c的整數,則A+B=C的機率為________。
4.某遊樂園有一些遊客要乘坐遊園火車,已知遊園火車車廂的座位數可以調整,但每節車廂最多只可乘坐40人,且遊樂園規定每節車廂乘坐的人數都要相同。如果每節車廂只乘坐30人,則有一人無法上車;如果減少一節車廂,則在高速座位後所有遊客正好能平均分到各節車廂。試問原來要乘坐遊園火車的遊客總共有______人。
【已刪除】5.令M={-2,0,1}、N={1,2,3,4,5}。若規定函數f:M→N必須滿足對於每個x
M, x+f (x)+xf (x)均為奇數,則符合這種規定的函數f共有_______個。
6.有三個小圓A、B、C彼此外切,且均內切於大圓O;已知圓B與圓C的半徑相等,且圓A的半徑長為2。若圓A恰通過大圓O的圓心,則圓B的半徑長為_____。
【已刪除】7.不等式
的解為_____。
【已刪除】8.已知
相交於兩點A、B,若
,求a=____。
9.某項工程,若由甲、乙兩家工程公司承包,需12/5天完成,要付180000元;由乙、丙兩家工程公司承包,需15/4天完成,要付150000元;若由甲、丙兩家工程公司承包,需20/7天完成,要付160000元。現在若在工程必須在一週內完成的前提下,由一家工程公司獨自承包此工程,則由____工程公司承包最省錢。
10.考慮方程式x
2
+2ax+b
2
=0,若a是從[0,3]中任取一數,b是從[0,2]中任取一數,則方程式有實數根的機率為_____。
11.若(1+x+x
2
)
1000
的展開式為a
0
+a
1
x+a
2
x
2
+…+a
2000
x
2000
,則a
0
+a
3
+a
6
+a
9
+…+a
1998
之值為_____。
12.設a < 0,則方程式(a-1) (sin2x+cosx)+(a+1)(sinx-cos2x)=0在區間(-π,π)內有_____個解。
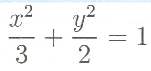
【已刪除】1.已知橢圓
的左、右焦點分別為F1與F2,過焦點Fl的直線交橢圓於B、D兩點,過焦點F2的直線交橢圓於A、C兩點,且
,垂足為點P。則四邊形ABCD面積的最小值為____。
相關試卷
114年 - 114 國立臺灣藝術大學教育學程招生考試_綜合學科:數學#137131
114年 · #137131
114年 - 114 高雄市市立國民小學教師聯合甄選-專長類-普通科目試題:數學#131662
114年 · #131662
114年 - 114 澎湖縣國民小學暨附設幼兒園教師/代理教師甄選試題:數學#131655
114年 · #131655
114年 - 114 文藻外語大學師資培育中心__國民小學教師教育學程新生甄選試題:學科基本知識-數學#130715
114年 · #130715
114年 - 114-1 臺北市立復興高級中學_專任教師甄選試題:數學科#129383
114年 · #129383
114年 - 114-2 新竹市國民中學教師聯合甄選初試試題:數學科#128201
114年 · #128201
114年 - 114 臺南市市立國民中學_正式教師聯合甄選試題:數學專門科目#128066
114年 · #128066
114年 - 114 桃園市國民中學新進教師聯合甄選試題:數學科#127820
114年 · #127820
114年 - 114-2 國立嘉義高級中學_教師甄選:數學科#127613
114年 · #127613
114年 - 114 中區縣市政府教師甄選策略聯盟:國小數學科#127528
114年 · #127528