阿摩線上測驗
登入
首頁
>
技檢◆工業配線-乙級
> 105年 - 01300 工業配線 乙級 工作項目 02:低壓配電盤及控制盤 1-100#40991
105年 - 01300 工業配線 乙級 工作項目 02:低壓配電盤及控制盤 1-100#40991
科目:
技檢◆工業配線-乙級 |
年份:
105年 |
選擇題數:
100 |
申論題數:
0
試卷資訊
所屬科目:
技檢◆工業配線-乙級
選擇題 (100)
1. 如下圖所示,若電阻 R 由 30Ω 增加時,電路之功率因數變化為(A)增大(B)減小(C)先增大後減小(D)先減小後再 增大。
2. 頻率降下時,電容器之容抗值(A)增加(B)減少(C)不變(D)先增後減。
3. 貫穿 3 匝時為 150/5A 之比流器,其原比數為(A)150/5(B)450/5(C)600/5(D)50/5。
4. 直流電壓計其最大刻度為 300V,內阻為 1.5kΩ,欲將測試範圍提高至 600V,則須串聯電阻器之電阻值為(A)1.5KΩ(B)3KΩ(C)4.5KΩ(D)6KΩ。
5. 頻率若為 fHz,則角速度 ω[rad/sec](弧度/秒)為(A)2π/f(B)π/2f(C)πf(D)2πf。
6. 電阻 R 與感抗 X 串聯之電路,若 X/R=1/ √3,則此電路之功率因數為(A)
(B)
(C)1/2 (D)
。
7. 如下圖所示,電壓計之讀數為(A)45V(B)55V(C)83V(D)110V。
8. 在保持電驛(Keep Relay)之 CC 線圈代表(A)控制線圈(B)選擇開關(C)投入線圈(D)跳脫線圈。
9. 使用直流電橋所能測定者為(A)電阻(B)阻抗(C)功率因數(D)電功率。
10. 交流電動機在輕負載時的功率因數比滿載時(A)高(B)低(C)一樣(D)無法比較。
11. 使用 20/5A 比流器及 5A 電流表,測定電熱器之負載電流,下列何者不適用?(A)單相 220V,2KW(B)三相 22 0V,2KW(C)單相 110V,3KW(D)三相 110V,3KW。
12. 三條相同之電熱線,若Y連接而使用於三相 220V 60Hz 電源,消耗 3KW 功率。此電熱線若以△連接,而 使用於 3 相 220V 50Hz 之電源,則消耗之功率為(A)3KW(B)3√3 KW(C)9KW(D)2√3 KW。
13. 電路裝有並聯電力電容器,此時電路功率因數 cosθ=1.0,若將電容量增加,則(A)功率因數增大(B)功率因 8 數減小(C)功率因數不變(D)功率因數大於 1.0。
14. 感應電動機運轉時之轉速,普通較其同步轉速為(A)快(B)慢(C)相同(D)大 1.5 倍。
15. 比壓器(PT)之二次側額定電壓為(A)100V(B)105V(C)110V(D)115V。
16. 電壓切換開關其內部接點切換時是(A)先開後閉(B)先閉後開(C)先開後閉,先閉後開均可(D)視電壓表之結構而 定。
17. 電流表切換開關內部接點在切換時是(A)先開後閉(B)先閉後開(C)先開後閉或先閉後開均可(D)視電表之結構而 定。
18. 電動機轉差率之公式為(A)
(B)
(C)
(D)
。
19. 使用Y-△啟動之感應電動機,其目的為(A)增加(B)減少(C)不變(D)減少或增加 ,其啟動電流。
20. 漏電斷路器主要用於保護何種故障?(A)線路短路(B)接地(C)過載電流(D)過電壓。
21. 220V/24V 之變壓器,額定容量為 500VA,若其一次側通以 110V 之直流電,則二次側可獲得之電壓為(A)12 V(B)24V(C)0(D)2.25V。
22. 電磁接觸器之容量大小一般係指(A)主接點容量(B)補助接點(C)線圈電壓(D)線圈頻率。
23. 同步電動機於功因落後運轉中,若將激磁電流略為增加,則(A)功率因數提高(B)轉速增加(C)轉速減少(D)功率 因數不變。
24. 如下圖所示,C4之主要功用為(A)消除雜訊(B)改善功因(C)濾波(D)微分。
25. 交流電磁開關之線圈,若加額定電壓以上之高壓,當然會燒毀,但加額定電壓以下之電壓時(A)亦會有燒毀 之情形(B)絕對不會燒毀(C)電流相同(D)線圈之鐵損增加。
26. 啟動轉矩最大之單相感應電動機為何種形式?(A)分相啟動式(B)電容運轉式(C)電容運轉電容啟動式(D)蔽極 式。
27. 如下圖所示之變壓器,二次側電壓 V
2
與電流 I
2
各為(A)110V、9A(B)100V、18A(C)200V、9A(D)200V、18A。
28. 將直流變為交流的是(A)整流器(B)比流器(C)濾波器(D)換流器(Inverter)。
29. 電磁開關在過載時會跳脫是靠(A)線路之裝置(B)積熱電驛(C)積熱電驛及線路裝置(D)電磁跳脫。
30. 下列何種電動機可用於Y-△啟動?(A)分相式電動機(B)鼠籠型感應電動機(C)繞線型感應電動機(D)同步電動 機。
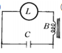
31. 改善水銀燈功率因數用電容器應如何連結,圖中:L 為水銀燈,B 為安定器,C 為電容器。 (A)
(B)
(C)
(D)
。
32. CT 二次線圈短路時,則一次電流(A)不變(B)增加(C)減少(D)先增加待飽和後減少。
33. Y-△「啟動」電路中,當電動機反轉時,若要改為正轉在電動機引出線端子上更換最少應更換(A)1 條(B)2 條(C)3 條(D)4 條。
34. 一般比流器其作用在將(A)直流大電流轉變為小電流(B)直流大電壓變為小電壓(C)交流大電流變為小電流(D)交 流大電壓變為小電壓。
35. 電磁接觸器其主要功能在(A)保護過載電流(B)保護短路電流(C)接通電源及切斷電源(D)防止接地。
36. 一個燈泡如要在三處控制時,至少需要(A)三個四路開關(B)一個三路開關與二個四路開關(C)二個三路開關與 一個四路開關(D)三個三路開關。
37. 50Hz 製成之變壓器,接於 60Hz 同等電壓之電源,其輸入電流較 50Hz 電源接入之電流(A)大(B)小(C)不變(D)先 變大待電流穩定後再變小。
38. 若使用 150/5A 貫通匝數 1 匝之比流器配合 0~50/5A 電流表時,比流器所需貫通之匝數為(A)1 匝(B)2 匝(C)3 匝(D)4 匝。
39. 比流器之二次側(A)不得短路(B)不得開路(C)不得接地(D)沒有極性區別。
40. 在低壓配電箱中裸露之異相間隔,若電壓為 600V,其相間距離不得小於(A)50mm(B)100mm(C)150mm(D)200mm。
41. 變壓器之鐵損與負載(A)成正比(B)成反比(C)平方成正比(D)無關。
42. 韋伯(Weber)為何者之單位?(A)電感(B)頻率(C)光束梯度(D)磁束。
43. 為測定開閉控制器具主接點之接觸電阻,無法用(A)壓降法測定(B)變比電橋來測定(C)三用電表來測定(D)惠斯 敦電橋測定。
44. 一般直流電動機之額定容量相同,而起動轉矩較大者為(A)分激式電動機(B)串激式電動機(C)複激式電動機(D) 差複激式電動機。
45. 配電盤有小型化之傾向,因此在器具安裝時必須注意絕緣距離,但(A)不必注意現場電纜作業之難易(B)必須 注意現場電纜作業之難易(C)不必注意絕緣強度(D)不得使用電纜。
46. 匯流排之排列 R.S.T.N 之順序,面對盤之正面(A)由上而下,由左而右,由前而後(B)由下而上,由右而左, 由後而前(C)由上而下,由右而左,由前而後(D)可任意排列。
47. 熱動式無熔絲開關的跳脫容量(AT)數決定於開關之(A)電磁跳脫裝置(B)積熱跳脫裝置(C)尺寸大小(D)絕緣之良 劣。
48. 變壓器二次側接地的目的為(A)提高導磁率(B)防止感電事故(C)提高導磁係數(D)防止渦流損失。
49. 單相三線式 110/220V 配電線路,其維持平衡之目的為(A)防止異常電壓之發生(B)減少線路損失(C)改善功率因 數(D)減輕負載功率。
50. 一般安培表之刻劃應有超倍刻劃者為(A)變壓器回路(B)照明回路(C)馬達回路(D)電熱回路。
51. 變壓器三相連接中之 Y-Y 接線,線電壓為相電壓之(A)√3 /2 倍(B)2/3√ 倍(C)√3 倍(D)1/ √3倍。
52. 供電電壓比額定電壓降低 5%時,三相感應電動機之最大轉矩約降低多少(%)?(A)5(B)10(C)15(D)20。
53. 積熱電驛原理是利用金屬之(A)重量不同(B)面積不同(C)膨脹係數不同(D)加熱時間不同。
54. 低壓用戶之一台三相 220V 電動機,如容量超過 15HP 時,則其啟動電流應限制於不超過額定全載電流之(A) 2 倍(B)3.5 倍(C)6 倍(D)不加限制。
55. 測試變壓器絕緣電阻之儀器為(A)三用電表(B)接地電阻測試器(C)三用鉤表(D)高阻計。
56. 在控制電路電源端所安裝之保險裝置,其功用為(A)控制電路及元件短路時熔斷(B)主電路過載時熔斷(C)主電 路欠相時熔斷(D)無功用。
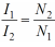
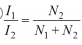
57. 三相鼠籠型感應電動機起動轉矩最大者為(A)一次電阻起動(B)一次電抗起動(C)直接起動(D)Y-Δ 起動。
58. 三相感應電動機運轉中,若電源欠一相時,電動機之情況(A)立即停止(B)繼續原速運轉(C)速度變慢發生噪音 (D)負載電流減少。
59. 無熔線開關跳脫後,如要再恢復送電時其程序(A)把開關把手向上扳到頂(B)把開關把手向下扳到底(C)把開關 把手先向下扳到底,再向上扳到頂(D)把開關換新。
60. 三相四極之鼠籠型感應電動機,通常其啟動電流約為全載電流之(A)1.5~2 倍(B)3~4 倍(C)5~6 倍(D)8~10 倍。
61. 電動機在兩處以上控制時其 ON、OFF 之按鈕開關接法為(A)全部並聯(B)全部串聯(C)ON 用串聯,OFF 用並聯 (D)ON 用並聯,OFF 用串聯。
62. 無熔線開關啟斷容量之選定,是依(A)線路之短路電流(B)功率因數(C)電壓降(D)閃爍電壓。
63. 分相式電動機其運轉繞組與起動繞阻間之理想相角為(A)90(B)120(C)180(D)30 電工度。
64. PVC 電線之安全電流,係以導線最高運轉溫度不超過 60℃及周圍溫度(A)20℃(B)25℃(C)35℃(D)40℃ 為計算 基準者。
65. 將Y-△啟動器使用於三相感應電動機之目的為(A)使啟動轉矩增大(B)縮短啟動時間(C)減少啟動電流(D)於啟 動之際有大電流。
66. 600V 以上電容器,切斷電源後最少應等待多少分鐘後始可觸碰?(A)1 分鐘(B)3 分鐘(C)5 分鐘(D)10 分鐘。
67. 三相感應電動機其三相之繞組引出六個接頭,其使用電壓應有多少種?(A)1 種(B)2 種(C)3 種(D)4 種。
68. 要使三相感應電動機之轉向變換,只須對調三相電源之二相即可,其理由為(A)定子繞組之電刷已反相(B)旋 轉磁場之轉向改變(C)功率因數改變(D)各相繞組之電壓降低。
69. 採用Y-△啟動器啟動時,其啟動電流為全壓啟動之(A)1/3(B)1/4(C)1/5(D)1/6。
70. 使用兩功率計法測定平衡三相負載之功率時,若其中一功率計之讀數為零,則該三相負載之功率因數為(A)1 (B)0.866(C)0.5(D)0。
71. 如下圖所示之電橋,其保持平衡(即 G 無電流流通)之條件為(A)R
1
R
4
=R
2
R
3
(B)(2)R
1
+R
3
=R
2
+R
4
(C)R
1
/R
2
=R
4
/R
3
(D)R
1
R
2
=R
3
R
4
。
72. MCCB AF 與 AT 之關係為(A)AF≧AT(B)AF>AT(C)AF<AT(D)AF≦AT。
73. 使電線之長度增為 n 倍,其截面積減為 1/n 倍時,則電線電阻為原來之(A)n
2
倍(B)n 倍(C)1/n 倍(D)1 倍。
74. 如下圖所示,RLC 串聯如(a)圖時有 10A 電流,若並聯如(b)圖而接於同一電源,則電流 I 為(A)10A(B)20A(C)3 0A(D)0A。
75. 引起電燈閃爍較大之負載機器為(A)電動機(B)電熱器(C)閃絡電驛(D)電弧爐。
76. 某工廠有低壓電動機五台,最大一台之全載電流為 40A,其餘 4 台之全載電流合計為 60A,選擇幹線之安 全電流量應為(A)90A(B)100A(C)110A(D)120A。
77. 如下圖所示之電路,ac 間之電容量(uF)為(A)2/3(B)3/2(C)4/3(D)3。
78. 比壓器(PT)之階級(如 0.5 級 1.0 級等),係表示(A)絕緣階級(B)精確度(C)容量(D)品質。
79. 變壓器之電壓調整率為(A)無載電壓與滿載電壓之差與滿載電壓之比(B)無載電壓與滿載電壓之差與無載電壓 之比(C)無載電壓與滿載電壓之比(D)無載電壓與磁飽和電壓之比。
80. 正反器元件符號中所標註的 CLK 端為(A)訊號輸出端(B)歸零訊號端(C)觸發訊號端(D)訊號輸入端。
81. 下列何者不影響電磁接觸器接點之壽命?(A)啟斷電流(B)閉路電流(C)開閉頻繁度(D)大氣壓力。
82. 三相三線制配合二只比流器使用之電流切換開關若規定 A1 為被接地點,接線時錯將 A2 接地,其指示之變 化如何?(A)R、T 相對調(B)OFF 與 S 相對調(C)R、T 相與 OFF、S 相均對調(D)完全正常。
83. 三相 220V,4 極 15HP 之感應電動機宜採用下列何種型式之電磁開關最為經濟?(A)35A(B)50A(C)65A(D)80A。
84. 一電動機(視作 RL 串聯電路)若並聯一只可變電容 C,則 C 自零逐漸加大時,全電路之功率因數變化為 (A)逐漸提高(B)逐漸降低(C)先提高後再降低(D)不變化。
85. 有一三相變壓器其一次側 Y 接線電壓為 380V,二次側 Δ 接線,一次側比二次側匝數比為 2:1,則二次側相 11 電壓為(A)110V(B)190V(C)220V(D)380V。
86. 依據屋內線路裝置規則規定,比壓器及比流器之二次側接地應屬於(A)特種地線工程(B)第一種地線工程(C)第 二種地線工程(D)第三種地線工程。
87. 如下圖所示,在 ab 間加以交流正弦波電壓,則 cd 間出現之電壓波形為(A)
(B)
(C)
(D)
。
88. 1.6mm 銅線之電阻值為 3.6Ω,同一長度 3.2mm 之電阻值為(A)0.9Ω(B)1.8Ω(C)5.4Ω(D)(4)7.2Ω。
89. PT 超過負擔時,PT 二次測(A)電壓上升(B)電壓下降(C)電流下降(D)電流不變。
90. 變壓器之一次電流為 I1,一次線圈匝數為 N1,變壓器二次電流為 I2,二次線圈匝數為N2,下列何者正確? (A)
(B)
(C)
(D)
。
91. Y 型接線線電壓為 220V,則其相電壓為(A)127V(B)190V(C)220V(D)380V。
92. KWH 上註明 KWH/2400Rev,如 1 分鐘轉 80 次之負載為(A)2KW(B)3KW(C)4KW(D)5KW。
93. 加裝電容器改善功率因數時,可改善下列何者之功因?(A)安裝點之負載側(B)安裝點之電源側(C)安裝點附近 (D)安裝點之電源側及負載側。
94. 口對口人工呼吸每分鐘施行速度約(A)5~8 次(B)16~18 次(C)20~30 次(D)30~35 次。
95. 若將直流分激電動機之激磁電流減少,電動機轉速將(A)增加(B)減少(C)不變(D)停止不動。
96. 電動機在可逆轉場合,往往在正逆轉電磁開關控制電路上,加裝延遲電路以使切換時間延長,其主要目的 為(A)使電動機完全停止後再啟動(B)減少啟動電流(C)防止電動機燒燬(D)防止電路因電弧而造成短路。
97. 三相電動機定子繞組有 6 組,共 12 個引出線,每組定子繞組額定電壓相同,則此電動機繞組接法有(A)4 種 (B)3 種(C)2 種(D)1 種。
98. 三相變壓器之接法為抑制諧波,不宜接成(A)Δ-Δ(B)Δ-Y(C)Y-Δ(D)Y-Y。
99. 開關開閉之速度應(A)快、慢適中(B)開快、閉慢(C)開閉均越快越好(D)開閉越慢越好。
100. 如下圖所示,電阻 R 之主要目的為(A)增加直流電磁線圈之始動電流(B)使動作後能自保(C)動作後,使直流電 磁線圈電流降低(D)增加直流電磁線圈吸力。
申論題 (0)
相關試卷
114年 - 01300 工業配線 乙級 工作項目 05:檢查及故障排除檢修 51-107(2025/10/09 更新)#132030
114年 · #132030
114年 - 01300 工業配線 乙級 工作項目 05:檢查及故障排除檢修 1-50(2025/10/09 更新)#132029
114年 · #132029
114年 - 01300 工業配線 乙級 工作項目 03:可程式控制器(PLC)之應用 51-120(2025/10/09 更新)#132025
114年 · #132025
114年 - 01300 工業配線 乙級 工作項目 03:可程式控制器(PLC)之應用 1-50(2025/10/09 更新)#132024
114年 · #132024
114年 - 01300 工業配線 乙級 工作項目 02:低壓配電盤及控制盤 101-150(2025/10/09 更新)#132023
114年 · #132023
114年 - 01300 工業配線 乙級 工作項目 02:低壓配電盤及控制盤 51-100(2025/10/09 更新)#132022
114年 · #132022
114年 - 01300 工業配線 乙級 工作項目 02:低壓配電盤及控制盤 1-50(2025/10/09 更新)#132021
114年 · #132021
114年 - 01300 工業配線 乙級 工作項目 01:識圖與繪圖 51-93(2025/10/09 更新)#132020
114年 · #132020
114年 - 01300 工業配線 乙級 工作項目 01:識圖與繪圖 1-50(2025/10/09 更新)#132019
114年 · #132019
113年 - 113-3 全國技術士技能檢定學科_乙級:01300工業配線#123626
113年 · #123626