所屬科目:統測◆02動力機械群◆(一)應用力學
2. 一力F作用於如圖(一)所示之ABC桿上,將此力分解為沿著BA方向及垂直於BA方向之 分力,請問力F沿著BA方向之分力大小為何? (A) Fsin 20° (B) Fcos 20° (C) Fsin30° (D) Fcos 30°
4. 三力作用在如圖(二)所示之樑的剖面上,合成為一單力後,請問合力大小及合力作用線之 位置為何? (A) 400N,O點右方30mm (B) 400N,O點左方30mm (C) 600N,O點右方20mm (D) 600N,O點左方20mm
5. 如圖(三)所示,一力矩M作用於樑上C點,樑重不計,請問A點之水平反作用力為何? (A) 0 (B) M/ 2 a (C) M/ a (D) 2M/ a
6. 如圖 ( 四 ) 所示,半徑為0.5 m、質量為10 kg 之輪子受一力矩 M 作用,若欲將輪子滾過高度 為 0.2m 之台階,過程中輪子和台階之接觸點不產生滑動,請問力矩M至少應為多少N-m? (A) 29.4 (B) 39.2 (C) 49.0 (D) 98.0
7. 如圖 ( 五 ) 所示, A、B 兩物體之質量分別為 mA = 100 kg 與 mB = 50 kg,已知物體 A 與 水平地面間、物體 A 及物體 B間之靜摩擦係數皆為 0.4。不計軟繩與滑輪之質量且忽略其 間之摩擦,請問欲拉動物體A所需之水平力P 至少應為多少N? (A) 196(B) 588 (C) 784 (D) 980
9. 質點作直線運動,其速度 v 與時間 t 的關係如圖 (六)所示,請問質點從 t=0 s~30s之 位移為多少m? (A) 0 (B) 24 (C) 48 (D) 144
10. 某汽車在 t = 0由靜止開始作直線運動,其加速度 a 與時間 t 之關係如圖 ( 七 ) 所示。針對 圖(七)之AB線與t 軸所構成的四方形面積之敘述,下列何者正確? (A) 代表汽車由 t=0~t1的平均加速度 (B) 代表汽車由 t=0~t1的平均速度 (C) 代表汽車在 t=t1的加速度 (D) 代表汽車在 t=t1的速度
11. 某汽車沿一曲線道路等速率行駛,經過圖 ( 八 ) 中的 A、B、C、D 點,請問汽車行經這四點 時,在那一點的加速度最大?(A) A點 (B) B點 (C) C點 (D) D點
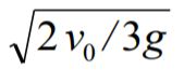
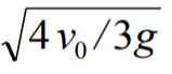
14. 如圖 ( 九 ) 所示,一球從高度 h 的樓頂以速度 v 0水平拋出,設重力加速度為 g,不計 空氣阻力,請問球到達距離水平地面 h/ 3 高度時所需的時間? (A) (B) (C) (D)
15. 如圖(十)所示,A、B兩物體之質量分別為mA = 30 kg與mB = 20 kg,兩物體與水平地面間之 動摩擦係數皆為 0.4。一水平力 F = 800 N持續作用於 A物體上,若過程中兩物體保持 接觸,請問當兩物體承受該水平力之作用而移動後,A、B兩物體間之作用力為多少N? (A) 320 (B) 480 A B (C) 540 (D) 600
16. 如圖(十一)所示,A、B兩物體之質量分別為mA =100 kg與mB =40 kg,不計軟繩與滑輪之質量 且忽略其間之摩擦,若欲使B物體之加速度為5m/s 2 (向下),請問作用力F之大小為多少N?(A) 288 (B) 700 (C) 1288 (D) 2072
17. 如圖 ( 十二 ) 所示,有一質量為 10 kg 之木塊,由靜止被釋放,順著斜面滑下 2.4 m 之距離 恰好接觸到一彈簧,並繼續下滑而造成該彈簧之最大壓縮量為 0.1 m,已知木塊與斜面間之 動摩擦係數為0.3,請問彈簧之彈簧常數為多少N/m?(sin 37° =0.6,cos 37° =0.8 ) (A) 16934.4 (B) 17640.0 (C) 28224.0 (D) 29400.0
18. 如圖 ( 十三 ) 所示,有一質量為 m 之小車作鉛直面之運動,該小車由距地面高度為h 之 A 處 順著光滑之滑道下滑,並滑上半徑為 10 m之鉛直面圓形滑道,小車很小可將它視為 質點。當小車行經圓形滑道最高點 B 處時,若欲使該小車能藉著圓周運動之離心力和 圓形滑道仍保持接觸,請問高度h之最小值為多少m? (A) 15 (B) 20 (C) 25 (D) 30
19. 如圖 ( 十四 ) 所示,水平地面上有一質量為 5 kg 之木塊,原為靜止,受一力 F 之作用使該 木塊向前移動,已知木塊與水平地面間之動摩擦係數為0.4,當木塊向前移動20m時,此 時木塊之動能為多少J?(sin 37° =0.6,cos 37° =0.8 ) (A) 88 (B) 232 (C) 340 (D) 480
20. 如圖 (十五)所示,A、B兩木塊之質量分別為 mA = 30 kg與 mB = 20 kg,且 A木塊放置於 光滑之水平面上。不計軟繩與滑輪之質量且忽略其間之摩擦,若 A、B 兩木塊由 靜止狀態被釋放,當 B 木塊下降 1 m 時,A 木塊仍在水平面上移動,此時 A 木塊之動能 為多少J? (A) 78.4(B) 117.6 (C) 196.0 (D) 294.0