阿摩線上測驗
登入
首頁
>
警專◆甲組數學
> 105年 - 105 臺灣警察專科學校_專科警員班第 35 期正期學生組:甲組數學#51681
105年 - 105 臺灣警察專科學校_專科警員班第 35 期正期學生組:甲組數學#51681
科目:
警專◆甲組數學 |
年份:
105年 |
選擇題數:
40 |
申論題數:
0
試卷資訊
所屬科目:
警專◆甲組數學
選擇題 (40)
1. 試問有多少組整數數對(x, y)滿足方程式| x +1| + 2 |y + 3| =4? (A)8(B)10(C)12 (D) 14 。
2. 設 a,b 皆為實數,已知二次函數
時有最大值7 ,試問a + b的値為何? (A) 1 (B) 3 (C) 5 (D) 7 。
3. 試求多項式
的餘式為何? (A) 0 (B) x - 1 (C) 3x - 3 (D) 5x - 1 。
4. 設 a,b 皆為實數,已知二次不等式
,試求a + b之值為多少?(A)-16 (B) - 18 (C) - 20 (D) - 22 。
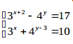
5. 試求方程組
的解(x, y)為何? (A) (- 1,5) (B) (0,3) (C) (2,1) (D) (2,3) 。
6. 試問4log
9
3+ log
9
21- log
9
7的値為下列哪一個選項? (A)
(B) 3 (C)
(D) 4 。
7. 試求級數1✖4 + 2✖5 + 3✖6 +............+ 20✖23的和為多少? (A) 3120 (B) 3360 (C) 3500 (D) 3680 。
8. 已知等差數列
{a
n
}
的首項為 2 ,公差為 - 3,試問數列
{a
n
}
前10項的總和為多少? (A)-95 (B) - 115 (C) - 135 (D) - 155 。
9.把一張100元的鈔票換成1元,5元,10元,50元這四種硬幣,要求每種硬幣都至少要1個,試問有多 少種的兌換方式? (A) 16 (B) 24 (C) 30 (D) 36 。
10將11支相同的原子筆全部分給甲,乙,丙三位小朋友,每位小朋友都至少得到1支,試問有多少種分法? (A) 8 (B) 28 (C) 36 (D) 45 。
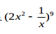
11. 在
的展開式中常數項的係數為多少? (A) 276 (B) 627 (C) 672 (D) 726 。
12. 投擲一個點數為1,2,3,4,5,6的公正骰子,觀察出現的點數, A 表示出現的點數為質數的事件, B 表示出 現的點數為偶數的事件,試問 A 與 B 的積事件為何? (A) {2} (B) {3,4,5,6} (C) {2,3,4,5,6} (D) {1,2,3,4,5,6} 。
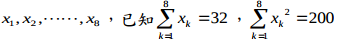
13. 有8個數據
x ,試問這8個數據的標準差為多少? (A) 1 (B) 2 (C) 3 (D) 4 。
14. 已知
θ
為銳角且
,試求
cosθ
+
tanθ
之值為多少? (A) 2 (B)
(C)
(D)
。
15. 已知 ABCD為平行四邊形,
,∠BAD =60° ,試問對角線
的長度為多少? (A) 3 (B)
(C) 7 (D)
。
16. 已知實數 x, y 滿足
的最小值為多少? (A) 7 (B) 9 (C) 11 (D) 13 。
17. 設 t 為實數,而
,試問
的最小值為多少? (A)
(B)
(C)
(D) 1 。
18. 已知
的夾角為60° ,試問
的値為多少? (A)
(B)
(C)
(D)
。
19. 試求二階行列式
的値為多少? (A) - 2 (B) - 1 (C) 1 (D) 2 。
20. 已知
,試問由
所張成的平行四邊形面積為多少? (A)
(B)
(C)
(D)
。
21. 已知實數 x, y,z 滿足
,試問 x + 2y + 3z 的最大值為多少? (A)
(B)
(C)
(D)
。
22. 試問包含兩平行線
的平面之方程式為何? (A) 2x - 3y + 4z =27 (B) 2x - 3y + 4z =23 (C) 19x + 30y +13z =0 (D) 19x + 30y +13z =- 57 。
23. 已知
,試問2A + B - C 為何? (A)
(B)
(C)
(D)
24. 設方陣
,其中 k 為正實數,已知方陣 A 沒有乘法反方陣,試問正實數 k 的値為多少? (A) 1 (B) 2 (C) 3 (D) 4 。
25. 試問拋物線
x
2
-4x-4y+8=0 的準線方程式為何? (A) y =0 (B) y =1 (C) x =2 (D) x =3 。
26. 試求無窮等比級數
的和為多少? (A)
(B) 1(C)
(D)
。
27. 擲一個點數為1,2,3,4,5,6的公正骰子3次,觀察出現的點數,試問5點出現次數的期望值為多少? (A)
(B)
(C)
(D)
。
28. 箱子中有三個球:一個紅球和二個白球,現從箱子中取四次球,每次取一個球且取後放回,試問這四次 的取球的結果恰有 2 個紅球的機率為多少? (A)
(B)
(C)
(D)
。
29. 設函數
,其中 x 為實數,試問函數 f (x) 的最大值為多少? (A) 1 (B) 3 (C) 5 (D) 7 。
30. 試求
的値為何? (A) 1 (B) 2 (C) 3 (D) 4 。
複選題
31. 設a,b,c,d 皆為實數,試問下列哪些選項一定正確? (A) 若a > b且c > d ,則a + c > b + d (B) 若a > b且c > d ,則a - c > b - d (C) 若a > b且c > d ,則ac > bd (D) 若a > b,則 a
2
> b
2
(E) 若a > b,則 a
3
> b
3
。
複選題
32. 設多項式 f (x) 滿足 f (1) =5, f (2) =7,試問下列哪些選項正確? (A) f (x) 除以(x - 1)的餘式為5 (B) f (x) 除以(2x - 2) 的餘式為10 (C) f (x) 除以(x - 2)的餘式為 7 (D) f (x) 除以( x
2
-3x+ 2) 的餘式為5 (E) f (x) 除以(x
2
- 3x+ 2) 的餘式為2x + 3 。
複選題
33. 箱子中有1個紅球, 2 個白球,3個黑球,現從箱子中任意取出兩球,試問下列哪些選項正確? (A) 這兩球皆不是紅球的機率為
(B) 這兩球恰有一個是紅球的機率為
(C) 這兩球皆不是白球的機率為
(D) 這兩球恰有一個是白球的機率為
(E) 這兩球皆是白球的機率為
。
複選題
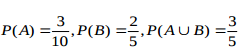
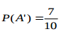
34. 設 A,B 是樣本空間中的兩個事件且滿足
,試問下列哪些選項正確? (備註: A' 表示事件 A 的補集) (A)
(B)
(C)
(D)
(E)
。
複選題
35. 下列有關組合數
的敘述哪些正確? (A)
(B)
(C)
(D)
(E)
複選題
36. 在坐標平面上,設圓 :
,試問下列哪些直線和圓C 有交點? (A) L
1
: 3x + 4y + 40 =0 (B) L
2
: 3x + 4y + 30 =0 (C) L
3
: 3x + 4y + 20 =0 (D) L
4
: 3x + 4y +10 =0 (E) L
5
: 3x + 4y =0 。
複選題
37. 點 P(3,4,5) 是空間中的一個點,試問下列哪些選項正確? (A) 點 P 到原點的距離為12 (B) 點 P 到 xy 平面的距離為5 (C) 點 P 到 xz 平面的距離為3 (D) 點 P 到 x 軸的距離為3 (E) 點 P 到 z 軸的距離為5 。
複選題
38. 設二階行列式
,其中a,b,c,d 皆為實數,試問下列哪些選項正確? (A)
(B)
(C)
(D)
(E)
複選題
39. 設 X ,Y,Z 皆為二階方陣,試問下列哪些選項一定正確? (A) XY =YX (B) X (YZ) =(XY)Z (C) X (Y + Z) =XY + XZ (D)
(E)
複選題
40. 設函數 f (x) =sin(2x + 3) + 4,其中 x 為實數,試問下列哪些選項正確? (A) 函數 f (x) 的最小值為3 (B) 函數 f (x) 的最大值為 4 (C) 函數 f (x) 的週期為π (D) 函數 f (x) 的週期為2π (E) 函數 f (x) 的週期為4π
申論題 (0)
相關試卷
114年 - 114 臺灣警察專科學校_專科警員班第 44 期正期學生組新生入學考試試題:數學科(甲組)#129087
114年 · #129087
113年 - 113 臺灣警察專科學校_專科警員班第 43 期正期學生組新生入學考試:甲組數學科#124571
113年 · #124571
112年 - 112 臺灣警察專科學校_專科警員班第42期正期學生組新生入學考試:數學科(甲組)#116872
112年 · #116872
111年 - 111 臺灣警察專科學校專科警員班第 41 期正期學生組新生入學考試:數學科(甲組)#110862
111年 · #110862
110年 - 110 台灣警察專科學校_專科警員班第40期正期學生組新生入學考試試題:甲組數學#99369
110年 · #99369
109年 - 109 臺灣警察專科學校_專科警員班第 39 期正期學生組:甲組數學#85679
109年 · #85679
108年 - 108 臺灣警察專科學校_專科警員班第 38 期正期學生組:甲組數學#79160
108年 · #79160
107年 - 107 臺灣警察專科學校_專科警員班第37期正期學生組新生入學考試:數學科(甲組)#122523
107年 · #122523
106年 - 106 臺灣警察專科學校_專科警員班36期正期學生組新生入學考試試題_甲組:數學科#122524
106年 · #122524
104年 - 104 臺灣警察專科學校_專科警員班第 34 期正期學生組:甲組數學#21357
104年 · #21357