所屬科目:警專◆甲組數學
1. 已知 a= ,求 a 的值在哪兩個連續整數之間? (A)1 與 2 (B)2 與 3 (C)3 與 4 (D)4 與 5 。
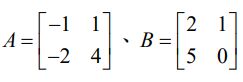
2. 下列哪個選項中的行列式值與行列式的值相等? (A)(B)(C)(D)。
3. 點 P(0,5) 到直線 4x+3y-25=0之最短距離為何? (A)1 (B)2 (C)3 (D)4 。
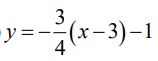
4. 下列哪個函數圖形經由平移後,會與的圖形重合? (A)(B) (C)(D)。
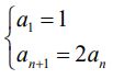
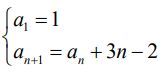
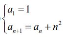
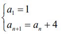
5. 滿足數列:1,2,6,15,…之前四項的遞迴關係式可表示為下列何者? (A) (B)(C)(D)。
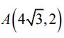
6. 已知坐標平面上三點 A(3,0)、 B(4,2)、C(1,5) ,則為何? (A) (-2,10) (B)8 (C)12 (D) (2,10)。
7. 通過點(3, -1) ,且與直線 3x+4y=0垂直的直線方程式為下列何者? (A)(B)(C)(D)。
8. 若-1+logx=log100,則 x 之值為何? (A)1000 (B)100 (C)10 (D)。
9. cos21°✖cos39°-sin39°×sin21°之值為何? (A)0 (B) (C) (D)。
10. <an> 為等差數列,若 a1= 35﹐ a2=23 ,當 k=n 時,有最大值,則 n 之值為何? (A)1 (B)2 (C)3 (D)4 。
11. 試問共有多少組正整數(k,m,n)滿足? (A)1 組 (B)2 組 (C)3 組 (D)4 組 。
12. 設 a、b 是正數,loga=20,logb=16,則 log(a−b)的值最接近下列哪個數? (A) (B)4 (C)16 (D)20 。
13. 坐標平面上,向量互相垂直,且。若的長度為 6,則的長度為何? (A)(B) (C)6 (D) 。
14. 針對甲、乙、丙、丁四位警官的敘述,何者的敘述正確?甲:相關係數的值不受單位改變的影響。乙:散布圖中,若各數據點平行x軸,表示兩組數據呈現完全正相關。丙:若變量x與y的相關係數為 0.4,變量x與z的相關係數為 0.8,則 x 與 z 的相關程度是 x 與 y的相關程度的 2 倍。丁:散布圖上,各數據點的迴歸直線,其斜率恰等於相關係數。(A)甲 (B)乙 (C)丙 (D)丁 。
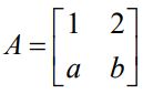
15. 設 A 為 3✖2階矩陣,且,試問 a+b+c 之值為何? (A)5 (B)0 (C) -1 (D) -2。
16. 如右圖, ABCD-EFGH 為一個正立方體,已知的值為何? (A)3 (B)9 (C)(D)27。
17. 空間中兩點 A(4,3,6)、 B(2,1,-4) ,P 為 x 軸上一點,則的最小值為何? (A)32 (B)64 (C)96 (D)108。
18. 如右圖,正三角形 OAB,請選出經矩陣 A=線性變換後之圖形: (A)(B)(C)(D)
19. 已知圓與點 A(3 , -2) ,若為圓 C 中過 A 點最長的弦,直線 AB 的斜率為何? (A)(B)0 (C)(D)。
20. 如右圖,正六邊形 ABCDEF 的中心為原點 O ,且,若 B 點坐標為(a,b),則 b 值為何?
(A) 3 (B) (C)6 (D)7。
21. 二階方陣, ,則 (A+B)2 與下列何者相等? (A) (B)(C)(D)。
22. 如右圖,空間坐標中有一個正立方體 ABCD-EFGH ,已知 A(0 , 0 , 0)、 B(1, 0 , 0) 、 D(0 ,1, 0)、 E(0 , 0 ,1) ,則以下哪個方程式(組)所代表的圖形會通過立方體的內部 (含邊界與立方體表面)?(A)(B) (C)(D)。
23. 有 3 位女性與 4 位男性報名參加一場研討會,而研討會當天發現出席的女性與男性人數相同(至少各 1 人),則出席人員的組合共有幾種? (A)3 (B)12 (C)30 (D)34 。
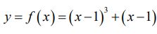
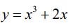
24. 有一個函數,請問此函數圖形在下列哪個區間為遞增函數? (A) [2 , 3] (B) [3 , 4] (C) [4 , 5] (D) [5 , 6] 。
25. 將 5 個不同的球,全部任意投入 3 個不同的籃框,則恰有一個籃框沒有球的機率為下列哪一個數? (A) (B) (C)(D)。
26. 甲、乙兩位警察射擊一嫌犯,已知甲的命中率為,乙的命中率為,今甲、乙兩位警察同時對嫌犯各開 一槍,且互不影響,求此嫌犯被擊中的機率為何? (A)(B)(C)(D) 。
27. 已知實係數多項式 f (x) 除以的餘式為 ax+b,且 f (x) 除以 x+1 的餘式為 3,則 a-b 之值為何? (A)3 (B)1 (C)-1 (D)-3 。
28. 下列各數何者最大? (A)sin5°+cos5° (B)sin6°+cos6° (C)sin7°+cos7° (D)sin8°+cos8° 。
29. 下 列 4 組資料 (每 組 各 有 10 筆 ), 試問哪一組資料的標準差最大?A: 1,1,1,1,1,10,10,10,10,10B: 1,1,1,1,1,5,5,5,5,5C: 1,1,2,2,3,3,4,4,5,5D: 1,2,3,4,5,6,7,8,9,10(A)A (B)B (C)C (D)D 。
30. 在△ABC 中,已知A= 45°,∠B=60°,,則△ABC 外接圓半徑為何? (A)1 (B) (C)2 (D)。
31. 空中消防無人機發現:地面正南方俯角 45° 的 A 處有火警發生;而在正東方俯角 30°的 B 處有消防車。 若無人機的飛行高度為 300 公尺,無人機的正射影點為 O 點,則 AB 距離幾公尺? (A)300 (B)(C)(D)600 。
32. 已知 x>0, y>0 ,若 logx+ logy=2,則 4x+y 的最小值為何? (A)2 (B)20 (C)40 (D)100 。
33. 已知空間中三點 A(0 , 0 , 0), B(1, 0 , 2),C(-1,1,1),則 △ABC 的面積為何? (A) (B)(C)(D)。
34. 甲、乙、丙三人各選一個「−2」以外的整數,發現這三個數的平方和為 9,則此三人的選擇共有幾種情形? (A)12 (B)9 (C)6 (D)3 。
35. 坐標空間中,點 A(3 , -2 , 5)、點 B(1,-1, 3),直線 AB 上的點 P 滿足 P 點到 A 點的距離加上 P 點到 B 點的 距離等於 3。試問這樣的 P 點有幾個? (A)0 個 (B)1 個 (C)2 個 (D)無限多個 。
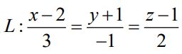
36. 坐標空間中一直線 ,則直線 L 與下列哪一個平面平行﹖ (A)(B) (C)(D) 。
37. 設二階方陣 ,A-1 為 A 的反矩陣,若A-1存在且A-1與 A 相等,則 a+b 之值為何? (A) -2 (B) -1 (C) 0 (D) 1 。
38. 棋盤式街道縱街 6 條,橫街 5 條,如右圖如示。警察由 A 出發至 B,需走在街道上且不繞遠路,即走捷徑(只能向右或向上),途中需經過巡邏箱 C 和巡邏箱 D,則有幾種不同的走法?(A)12 (B)18 (C)24 (D)36 。
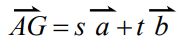
39. 滿足的整數 x 共有幾個? (A)12 (B)13 (C)14 (D)15 。
40. 如右圖, ABCDEF 為正六邊形, G 為中點,若, ,則 s+t之值為何? (A)(B)(C)2 (D)