所屬科目:警專◆甲組數學
2. 箱中有六顆球,分別標示 1, 2, 3, 4, 5, 6,抽取流程是:小明先從中抽取一球後放回,小華再從中抽取一 球。若兩人抽球時每球被取中的機會均等,則兩人抽中同號球的機率是? (A) (B) (C) (D)
3. 已知α<β,則下列各式的數值,哪一個最大? (A) (B) (C) (D)
5. 三次函數y=f(x) =3(x-2)3+2x-5之圖形的對稱中心為? (A) (2, -5)(B) (2, -3) (C) (2, -1) (D) (2,1)
6. 圓的半徑為? (A) 3 (B) 4 (C) 5 (D) 6
7. 已知log 7≈0.8451,據此可算出為 a 位數,請問 a 之值為何? (A) 86 (B) 85 (C) 84 (D) 83 。
11. 有一個扇形半徑為 12,面積為48π ,請問它的圓心角大小為何? (A) (B) (C) π (D)
12. cos 72° cos12°+sin 72° sin12 °之值為? (A) (B) (C) (D) 1
13. 下列哪個選項正確? (A) (B)log10=1 (C) log(7+9)=log 7+log 9 (D) log 5+ log 6=1+log 3
14. ,則之值為? (A) (B) (C) (D)
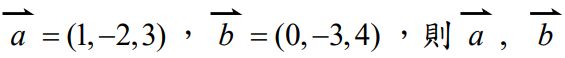
15. 若 P(−2,3, −1) 為坐標空間中的一點,則點 P 至 y 軸的距離為? (A) 3 (B) (C) (D)
16.所張成的平行四邊形面積為? (A)(B) (C) (D)
17. 直線和的關係為? (A) 平行 (B) 重合 (C) 交於一點 (D) 歪斜 。
19. 行列式的值為? (A) 16 (B) 14 (C) 12 (D) 8
20. 若M=為3×2階矩陣且=3i2-j ,則矩陣M為? (A) (B) (C) (D)
21. 函數f(x)=6cosx+8sinx的最小值為? (A) −14 (B) −12 (C) −10 (D) −8
24. 下列哪個選項的散佈圖的相關係數最大? (A) (B) (C) (D)
27. 坐標空間中有兩平面x+2y+2z=3以及6x+3y-2z=7,若這兩平面的銳夾角為θ ,則cosθ的值為? (A) (B)(C) (D)
28. A, B 為樣本空間中的兩事件,且機率值P(A∪B)=, P( A ) =,P( B ) = ,則條件機率 P(A|B)之值為? (A) (B)(C) (D)
29. 坐標平面上,函數y=的圖形以 y 軸為基準左右伸縮為 3 倍,再以 x 軸為基準上下伸縮為 4 倍,可得下列哪個選項的圖形? (A) (B) (C) (D)
30. 設矩陣 M 為矩陣 的乘法反矩陣,若M2=,則a+b+c+d之值為? (A) 2 (B) 0 (C) −2 (D) −4
31.。下列哪些 x值會使f(x)之值為負﹖ (A) (B) 圓周率π (C)(D) 2022 (E)log111
32. 已知坐標平面上兩點 A(1,1), B(13,19) 。下列哪些選項是正確的? (A)長為 22 (B) 直線 AB 不通過第二象限 (C) 直線 AB 的 x 截距為 (D) 直線 AB 的 y 截距為 (E)線段 AB 上含 A, B 的格子點(x, y 坐標皆為整數的點)有 7 個
33. 已知坐標平面上不平行, 。下列哪些選項是正確的? (A) α = 0.4 , β = 0.6時,P, A, B 三點共線 (B) α =1, β =1時,∆OAP 和∆OBP 面積相等 (C) α = 3, β = 2時,∆OAP 和∆OBP 面積比為3:2 (D) α = 3, β = 2時,平分的夾角 (E)α > 0 , β > 0時,∠POA必為銳角 。
34. 已知圓 C 為坐標平面上的一圓,為圓 C 的一個直徑,其中 A 坐標為(2, 2), B 坐標為(-4,6)。下列哪些選項是正確的? (A) 圓心在第四象限 (B) 面積為 13π (C) 圓 C 的方程式為x2+y2-2x+8y−20=0 (D) 原點落在圓 C 內部 (E)點(-4, 2)也在圓 C 上
35. 已知多項式f(x)=(x+1)2(x-1)3(x-5)。下列哪些選項是正確的? (A)f(x)展開整理後,各項係數的總和為 5 (B)不等式f(x)≤0 的解為1≤x≤5 (C) 在f(x)≤0 的解當中,有 6 個整數 (D) 不等式(x+1)4(x-1)(x-5)3≤0和f(x) ≤ 0的解相同 (E) y=f(x)和 y = −1的圖形有兩個交點
36. ∆ABC 中, = 3, = 4。下列哪些選項是正確的? (A) (B)= 5時,∆ABC 面積為 6 (C) ∆ABC 面積為時,∠A= (D)∠C=時,∆ABC 的外接圓半徑為 6 (E)∠C=時,∆ABC 必為鈍角三角形
37. 某公司對一新產品進行上市前的市場調查,得到售價 x (百元)時,願意購買人數 y (萬人)的資料如下表,其 中有一欄位污損了,但是知道用最小平方法所得 y 對 x 的最適合直線(迴歸直線)為。下列哪些選項是正確的? (A) 變數 x, y 的相關係數為 (B) 變數 x 的算術平均數為 7 (C) 變數 y 的算術平均數為 9 (D) 污損欄位的值為 2 (E)依此方法可預估售價為 640 元時,購買人數有 10 萬人
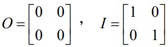
38. 已知 A,B 均為 2 階方陣,且,det(M)代表方陣 M 的行列式值。下列哪些選項是正確的? (A) 若 A, B 的乘法反方陣存在,則(B) 若 A, B 均為轉移矩陣,則亦為轉移矩陣 (C)(A+B)2=A2+2AB+B2 (D) det(5A)=5⋅det( A ) (E)若A2= A ,則 A=O 或 A=I
40. 如圖,在長方體 OABC-DEFG 中,點 A, C, G 依序在 x 軸, y 軸, z 軸三軸的正向上, ,為長方體表面上從 A 點到 F 點的最短路徑,P 為和長方體稜邊的交點(P≠A 且 P≠F),θ 為平面 ABC 和平面 AGC 在長方體內部的夾角。下列哪些選項是正確的? (A) E 點坐標為(6,12,6) (B) 的長度小於 20 (C) P 點 z 坐標為 8 (D) E 點到平面 AGC 的距離為 8 (E)