所屬科目:警專◆甲組數學
1.若一2π≤x≤2π,直線與函數y=cosx的圖形有幾個交點? (A) 1 (B) 2 (C) 3 (D) 4
2.如圖所示,兩直線L1,L2之方程式分別為L1:ax-y+b=0,L2:cx-y+d=0, 其中a,b,c,d為實數,試選出正確的選項。 (A)b>0(B) c<0 (C) c>a (D) d>b
3.已知a,b為實數,若|ax+1|≤b的解為-3≤x≤5,則數對(a,b)為何? (A) (1,-4) (B) (1,4) (C) (-1,4) (D) (-1,-4)
4. 坐標空間中,方程組所代表的圖形為何? (A)一點 (B)兩相交直線 (C)垂直於xz平面的直線(D)平行z軸的直線。
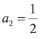
7.設二次函數,在X=-2有最大值,則b=?(A) 1 (B) -1 (C) 3 (D) -3
8.設 ,則下列選項何者為真? (A) a>b>c (B) a>c>b (C) a=c>b(D)a=c<b
9.設x,y>0,若logx+logy=2,則的最小值為何? (A) (B) (C) (D)
11.設,若3-i為實係數方程式f(x)=x3+ax2+4x+10=0的一根,則求方程式的實根為何? (A)-1 (B)-2 (C)1 (D)2ㆍ
12.一等差數列滿足a4=42,a10=27,當前n項和Sn有最大值,則此時n的值為何?(A) 18 (B) 19 (C) 20 (D) 21
13.設a>0且已知的展開式中,常数項為1792,則實數a=? (A) 2 (B) 3 (C) 4 (D) 6
14.設X表示某校高三500位同學複習考數學成績,Y代表物理成績,且數學平均=60,物理平均=65,數學標準差=2,相關係數,已知點(63,68)為迴歸直線上一點,則物理成績的標準差為何? (A)1(B)2 (C)3 (D)4
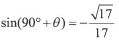
15.設θ為銳角,若 ,試求tanθ=? (A) (B) (C) (D)
16.如下圖,ABCD為内接四邊形,若=12,=16,∠C=90°,∠D=60°,試求= ?(A)(B) (C) (D)
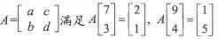
17.設二階方陣, ,則下列敘述何者為真? (A)a=6 (B)b=-11 (C)c=11 (D)d = 25
19.下列各數何者最大? (A) sin12°+ cos12°(B) sin32°+cos32°(C) sin52°+ cos52° (D) sin72°+ cos72°
20.已知第二次期中考後,導師宣布成績:全班學生中,有數學不及格,有英文不及格,有兩科都不及格。今任選班上一學生,則已知該生英文及格,那麼該生數學不及格的機率為何? (A) (B) (C) (D)
21.設,則=? (A) 5 (B) 6 (C) 7 (D) 8
23.已知空間中兩向量,若=(3,6,-2),且,的夾角θ,則sinθ之值為何? (A) (B) (C) (D)
24.如圖,ABCD為四面,已知垂直於平面BCD,, 。若平面ADB 與平面ADC的夾角為θ,求sinθ之值? (A) (B) (C) (D)
25.設點P在橢圓上任一點,F1,F2為兩交點,則之最大值為M,最小值為m 求數對(M,m)=? (A) (169,144) (B) (169,25) (C) (144,121) (D) (196,169)
26.設,若複數 ,則| z |=? (A) (B) (C) (D)
27.設平面民與x軸、y軸、z軸依序交於點(2,0,0),(0,-6,0),(0,0,4),求原點到平面E的距離為何? (A) (B) (C) (D)
28.判断下列哪個數列收斂? (A) (B) (C) (D)< cos ( nπ ) >
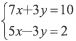
29.若方程組有解,則k=? (A) -1 (B) 3 (C) -5 (D) 8
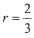
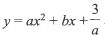
30.設 ,試解,則x=? (A) (B) (C) (D)
31.下列哪些二階方可將x軸變換到y軸? (A) (B) (C) (D)(E)
32.已知在二項分布中兩機變數X〜B(10,0.5),Y〜B(10,0.8),試問下列敘述哪些是正確的? (A)X的平均數比Y的平均數大 (B)x的變異數比的變異數大 (C)P(X≤5)≥0.5 (D)P(Y≤5)≥0.5 (E)P(Y>5)≥P(X>5)
34.列哪一個函的圖形與x+y=0恰有一交點? (A) (B) (C) (D)(E)
35.設方程式,則當k為下列何值時,的圆形是雙曲線? (A) 2 (B) 4 (C) 6 (D) 8 (E) 10
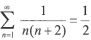
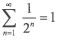
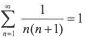
36.關於下列各無窮級數和,下列選項哪些是正確的? (A) (B) (C) (D)(E)
37.若有向角日的始邊在x軸的正向,其終邊上一點P的坐標為(x,5),tanθ=-4,則下列選項哪些是正確的? (A)x=-3 (B) (C) (D)(E)
38.對於二元一次方程組 ,下列選項哪些是正確的? (A)若方程組恰有一組解,則k≠2,-2 (B)若k=2,則方程組無解 (C)若k=-2,則方程組無解 (D)若方程組無解,則其所表示的二直線距離為2 (E)若方程組有無限多組解,則其圖形表斜率為一1之直線。
39.擲一枚均勻硬幣4次,恰好出現n次正面的機率為;一枚均勻硬幣8次,恰好出現n次正面的機率為,試問下列哪些選項是正確的? (A) (B)a2=b4 (C)b2=b6 (D)a3>b3(E)b0,b1,...,b8中的最大值為b5
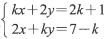
40.設 ,則下列選項哪些是正確的? (A) (B) (C) (D)(E)