所屬科目:高中(學測,指考)◆數學
1. 已知某校老師玩過「寶可夢」的比率為 r 1 ,而學生玩過的比率為 r2 ,其中 。 由下列選項中的資訊,請選出可以判定全校師 生 玩 過「 寶 可 夢 」的 比 率 之 選 項 。 (A) 全校老師與學生比率 (B) 全校老師人數 (C) 全校學生人數 (D) 全校師生人數 (E) 全校師生玩過「寶可夢」人數
3. 設 為坐標平面上一雙曲線,且其通過第一象限的漸近線為。考慮動 點 (t,t2 ) ,從時間 t = 0時出發。當 t > 0時,請選出正確的選項。 (A) 此動點不會碰到 Γ ,也不會碰到 (B) 此動點會碰到 Γ,但不會碰到 (C) 此動點會碰到 ,但不會碰到 Γ (D) 此動點會先碰到 Γ,再碰到 (E) 此動點會先碰到 ,再碰到 Γ
4. 在右下圖的正立方體上有兩質點分別自頂點 A C, 同時出發,各自以等速直線運動 分別向頂點 B D, 前進,且在 1 秒後分別同時到達 B D, 。請選出這段時間兩質點距 離關係的正確選項。 (A) 兩質點的距離固定不變 (B) 兩質點的距離越來越小 (C) 兩質點的距離越來越大 (D) 在 秒時兩質點的距離最小 (E) 在 秒時兩質點的距離最大
5. 下圖是某城市在 2016 年 的 各 月 最 低 溫( 橫 軸 x )與 最 高 溫( 縱 軸 y )的 散 佈 圖 。
今 以 溫 差( 最 高 溫 減 最 低 溫 )為 橫 軸 且 最 高 溫 為 縱 軸 重 新 繪 製 一 散 佈 圖。試 依 此 選出正確的選項。 (A) 最高溫與溫差為正相關,且它們的相關性比最高溫與最低溫的相關性強 (B) 最高溫與溫差為正相關,且它們的相關性比最高溫與最低溫的相關性弱 (C) 最高溫與溫差為負相關,且它們的相關性比最高溫與最低溫的相關性強 (D) 最高溫與溫差為負相關,且它們的相關性比最高溫與最低溫的相關性弱 (E) 最高溫與溫差為零相關
6. 試問有多少個實數 x 滿 足 ? (A) 0 個 (B) 1個 (C) 2 個 (D) 4 個 (E) 無窮多個
7. 小明想要安排從星期一到星期五共五天的午餐計畫。他的餐點共有四種選擇: 牛肉麵、大滷麵、咖哩飯及排骨飯。小明想要依據下列兩原則來安排他的午餐: (甲)每天只選一種餐點但這五天中每一種餐點至少各點一次 (乙)連續兩天的餐點不能重複且不連續兩天吃麵食 根據上述原則,小明這五天共有幾種不同的午餐計畫? (A)52(B)60(C)68 (D) 76 (E) 84
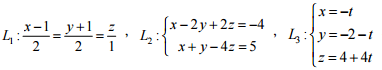
10. 坐標空間中有三直線 , t 為 實 數。請選出正確的選項。 (A) L1與 L2的方向向量互相垂直 (B) L1與 L3 的方向向量互相垂直 (C) 有一個平面同時包含 L1與 L2 (D) 有一個平面同時包含 L1與 L3 (E) 有一個平面同時包含 L2與 L3
11. 最近數學家發現一種新的可以無縫密舖平面的凸五邊形 ABCDE ,其示意圖如下。 關於這五邊形,請選出正確的選項。 (A) (B) (C) (D) (E) △BCD 的面積為 2 √2
13. 空間中有一四面體 ABCD 。假設 垂直,請選出正確的選項。 (A) (B) 若 ∠BAC 是直角,則 ∠BDC 是直角 (C) 若 ∠BAC 是銳角,則 ∠BDC 是銳角 (D) 若 ∠BAC 是鈍角,則 ∠BDC 是鈍角 (E) 若 , 則 ∠BDC 是銳角
A. 遞迴數列 為二次多項式。若
B. 在坐標平面上, △ABC 內有一點 P 滿 足。 若 A, P 連 線 交 。(化成最簡分數)
C. 若 a 為正整數且方程式的根都是有理根,則 a = 。
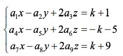
D. 設a1,a2,...,a9 為等差數列且 k 為實數。若方程組 有解,則 k = 。
E. 設 a,b,x , 皆為正整數且滿足 。若用內插法從 log a, log b求 得 log x 的 近似值為則 x 的值為
F. 一隻青蛙位於坐標平面的原點,每步隨機朝上、下、左、右跳一單位長,總共 跳了四步。青蛙跳了四步後恰回到原點的機率為 。(化成最簡分數)
G. 地面上甲、乙兩人從同一地點同時開始移動。甲以每秒 4 公尺向東等速移動, 乙以每秒 3 公尺向北等速移動。在移動不久之後,他們互望的視線被一圓柱體 建築物阻擋了 6 秒後才又相見。此圓柱體建築物底圓的直徑為 公 尺 。