所屬科目:教甄◆數學專業
1. 設三階方陣A=,,則k+p+q= _______。
2. 設α、β為方程式x2+2x-5=0的兩根,求(α+1)(α+2)(β+1)(β+2)(α3+β3)= ________
3. 設 Z 為複數,滿足| Z |=1,則 Z5+Z-1=0 ,則Z= _______。
4. 設無窮數列的前n項之和為,則(a,b,c) = ________。
5. 如右圖,△OAB 中,。設以為直徑, C 為圓心的圓與交於P,且交於Q,求長為_______。
6. 已知 a、b、c 三數均為正整數,若 a、b、c 三數中的任意兩數的最小公倍數都是 m ,則稱 m 是 a、b、c 三數 的「協和」公倍數,例如,30、4、60 三數中的任意兩數之最小公倍數都是 60,故稱 60 是 30、4、60 三數 的「協和」公倍數。求滿足 36 是 a、b、c 三數的「協和」公倍數之序對 (a,b, c) 共有_______組解。
7. 設直線 L 與函數 f(x)=x3+x+1交於A、B、C三點,且,則直線 L 的方程式為_______。
8. 實數x,y,z滿足x2+y2+z2=1,試求的最大值=_______。
9. 已知 △ABC 的面積為,其中兩條中線的長度為 3、6,求第三條中線的長度最大值為______。
10. 一隻烏龜沿著右下圖的線段爬行(每線段都等長)。設烏龜在每線段中不改變爬行的方向,而在每個交點處選擇任一方向的機率相等,如:在 A1 選擇 A2 、 A3 的機率各為 ,在 A2 選擇 A1、 A3、 A4 、 A5 的機率各為 ,設烏龜 爬行每一線段所需要的時間都是一分鐘,則烏龜從 A1 爬到 A6 所需時間的期望值為________。
11. 設乘開後的個位數字為 a ,小數點後第一位數字為 b ,則數對 (a ,b)= _______。
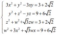
12. 聯立方程組 ,求之值=_______。
二、計算證明題(共 28 分)
(1)求證: 。(5 分)
(2)當 △OAB 面積為時,求 k 之值。(5 分)
3. 設x,y,z整數且x+y+z=3,x3+y3+z3=3,但x≠1,y≠1,z≠1,試求x2+y2+z2之值。(10 分)