所屬科目:教甄◆數學
26.( ) 有關分數的概念,下列哪一個數學問題的「單位分數內容物」為 2 顆巧克力? (A) 一盒巧克力有 7 顆, 盒有多少顆巧克力? (B) 一盒巧克力有 22 顆, 盒有多少顆巧克力? (C) 一盒巧克力有 24 顆, 盒有多少顆巧克力? (D) 一盒巧克力有 27 顆, 盒有多少顆巧克力?
29.( ) 教師請學童在下面的三角形中,分別作出三個頂點 A、B、C 與其對應邊的高。 請問學童在畫高時,哪一個頂點與其對應邊的高,是最困難的? (A)頂點 A (B)頂點 B (C)頂點 C (D)沒有差別
31.( ) 小數除法「5.1÷1.2=?」使用直式計算,除數和被除數小數點同時向右移動,如下: 下列敘述何者是正確的? (A)直式中的餘數是 3 (B)直式中的 48 表示 48 個 0.1 (C)直式中的商是 4 表示 4 個 0.1 (D)直式中的 51 表示 51 個 1
36.( ) 有一個長方形的面積為 ,周長為,則此長方形的長與寬相差多少?(A)(B)(C)(D)
37.( ) 根據身體質量指數 BMI,分為過輕、適中、過重三級,標準如下表。曉明的身高為 150 公 分,BMI 值為 20,若一年後長高 10 公分,BMI 值變成過重,則這一年最少胖了幾公斤(取整數)? (A)12 (B)13 (C)14 (D)15
38.( ) 計算 (A)900 (B)885 (C)870 (D)
42.( ) 如圖斜線部分的小正六角形星形面積是 16 平方公分,請計算出大正六角星形的面積是多少 平方公分? (A)72 (B)64 (C)48 (D)32
43.( ) 如下圖,正五角錐僅有兩面塗上顏色,請問下列哪一個圖不可能為其展開圖? (A) (B) (C) (D)
44.( ) 如圖, ,圓 I 為 的內切圓,若=12 公分、 =16公分,則 面積- 面積=? (A)12 平方公分 (B)16 平方公分 (C)20 平方公分 (D)24 平方公分
45.( ) 如圖, 為圓 O 的直徑,平分 於 E 點,已知圓O面積為64π 則=? (A) (B)(C)(D)
46.( ) 若 ,則 之值為何? (A)-5 (B)-4 (C) 0 (D)112(E)一律給分
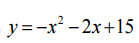
47.( )設拋物線 的頂點為 A,且此拋物線的圖形與x 軸相交為 B、C 二點, 試求△ABC的面積為何? (A)48 (B)56 (C)64 (D)72
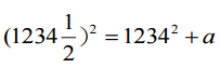
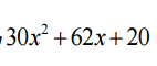
48.( ) 若 ,且, 則a+b=? (A)1469.25 (B)1469.5 (C)2703.5 (D)2703.25
50.( ) 如圖,P 是圓心, x 角度是多少? (A)120 (B)118 (C)116 (D)112