所屬科目:教甄◆物理科專業
1. 如圖所示,實線表示 2 莫耳的某理想氣體發生狀態變化時壓力 與溫度的關係圖。變化過程由狀態 A 經狀態 B、C、D 諸狀態, 最後回到狀態 A。(各狀態的溫度和壓力已標示於圖中,且設 圖中的 P 和 T 為已知)若已知該理想氣體在狀態 A 時的體積 為 V,請在座標圖上繪出該氣體的壓力-體積關係圖。(註明狀 態 A、B、C、D)
4. 在右圖之正立方體中每邊上之電阻均相同為 R。若電流 i 由 A 點 流入,由 G 點流出,則 A、G 兩點之等效電阻為何?
5. 有一正三角形線圈 ABC,內有電流 i,依照反時針方向流通。若有一均 勻磁場沿 BC 方向作用,如圖所示,若假設 ΔABC 邊長為 a,均勻磁場 為 B,則磁力力矩之量值若干?
11.一人質量 60 公斤,站在質量為 40 公斤的平臺上,垂直拉下一繞過動滑輪組 的繩索,設滑輪及繩之摩擦與質量可略去不計,當人與平台一同以 2m/s2的加 速度向上升起時,此人施予平臺的作用力量值為多少牛頓? (重力加速度 g=10m/s2 )
(2) 長度為何?
13. 長為 L 的水平平板間,有垂直進入紙面的均勻磁場,如圖所示,磁場強 度為 B,兩板間距離也為 L,板不帶電,現有質量為 m,電荷量 q 的帶正 電粒子(不計重力),從左側板間中點處以速度 v 垂直射入磁場,若粒 子可打到水平板,其最大速率與最小速率的比值為何?
(2)球上的感應電荷在距球心 5cm 的 P 點(在連線上)建立的電場強 度為何?
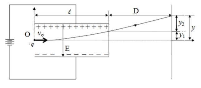
15. 陰極射線實驗中,一質量為 m,帶電荷 q 的粒子,以初速度 vo,平行金屬板方向射入電 場,電荷受到金屬板間的電場 E 作用而偏向,如圖所示。已知平行金屬板的長度為 l,金 屬板末端到屏幕的距離為 D,問此帶電質點在屏幕上的偏向位移 y=? (以 q、m、vo、、E、D 來表示)
19.如右圖,將焦距為 20cm 之凸透鏡從中間分割成兩塊後 分離為 0.1mm,透鏡前 30cm 處置一點光源 S(光波波長 為 600nm)。距光點實像 150cm 之光屏上所成干涉條紋 中第一暗紋至中垂線的距離為何?
20.兩個質點將進行一維正向彈性碰撞,質量分別是 m1、m2,速度分別是 1 v 、 2 v 且同向,預設 v1 > v 2 ,m1準備追撞 m2。試完整推導系統內動能