所屬科目:教甄◆物理科專業
3. 質量為 m 的火箭由地面發射,動能為 E,上升到距地心為 r 處靜止,再啟動 第二節燃料箱,給予 的能量恰能脫離地球,則 r 為地球半徑的________ 倍。
10. 如圖 1 所示,兩平行直導線軌道豎直放置,導線間距 50 公分。上端分別與 電動勢 10V 的直流電源連兩極連接。在導線軌道平面內有均勻磁場,其方向 垂直進入導線軌道平面,大小為 0.5 特斯拉。一根質量 m=100 公克的金屬棒 始終與兩導軌接觸,並沿著導軌平面保持平行地豎直向地面下滑,設閉合迴 路的總電阻在下滑過程中保持不變,為 R=5Ω,設棒與導軌間摩擦力和空氣 阻力不計。當金屬棒下滑達到等速直線運動時,試求棒的速度?(g=10m/s2)
11. 如圖 2 所示,在光滑的水平面上有一質量為 M 的光滑斜面,其斜面上放一質 量為 m 的小木塊(可視為質點),斜面的傾斜角為θ,當 m 從高為 h 處由靜止 開始下滑時,在下滑過程中求木塊與斜面之間的相互作用力為何?
12. 如圖3所示,圓柱型容器高為H、截面積為A,底部開一小洞截面積為a(a<<A)。 容器裝滿水後,把底部洞打開,在不考慮水與容器的黏滯性的情況下,求水 漏光所需的時間?
13. 長之銅棒以一端為軸,在均勻磁場 B(垂直進入紙面)中掃過的面與磁場保 持垂直並順時針方向旋轉,角速度為ω,則離軸為 x 處的電場強度為何?
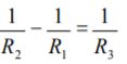
3、證明:平常我們吹起的兩個肥皂泡沫,如圖 5 所示。大泡泡的半徑 R1與小泡 泡半徑 R2間有一泡膜之半徑為 R3,證明其三者關係滿足
4、如圖 6 所示,一質量為 m、帶正電荷 q 的小球以一端固定的細繩懸掛著,繩 長為L,系統置於均勻的磁場中,磁場 B 的方向垂直穿入紙面。開始時靜止的 小球擺角與鉛直線夾,釋放後帶電小球向左擺動,設其左側最大擺角與鉛 直線夾。若摩擦力與空氣阻力均可忽略,重力加速度為 g,則:(10%) (1)請判斷的大小關係 (2)向左擺動過程中,小球在最低點時的張力大小