所屬科目:技檢◆工業配線-乙級
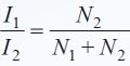
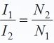
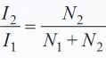
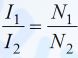
2. 變壓器之一次電流為 I1,一次線圈匝數為 N1,變壓器二次電流為 I2,二次線圈匝數為N2,下列何者正確?(A) (B) (C) (D)
4. 如下圖符號代表(A)單極單投開關(B)雙極雙投開關(C)單極雙投開關(D)雙極單投開關。
7. 如下圖所示之變頻器 V/F 曲線,10~60Hz 之間,V-F 成正比,負載特性為(A)變轉矩(B)定轉矩(C)定馬力(D)升降負載。
14. 如下圖所示,氣壓方向閥符號之作動方式為(A)人力操作式(B)電磁式(C)彈簧作動式(D)柱塞作動。
15. 電表上之記號 ,是表示(A)可動鐵片型(B)熱動型(C)可動線圈型(D)振動彈簧型。
18. 如下圖所示,兩個按鈕開關 PB1、PB2 控制指示燈 SL 亮熄,「押下」表示按鈕開關押下,「放開」 表示按鈕開關放開,則(A)PB1 放開、PB2 押下時,SL 熄(B)PB1 放開、PB2 放開時,SL 熄(C)PB1 押下、PB2 押下時,SL 亮(D)PB1 押下、PB2 放開時,SL 亮。
19. 如下圖所示為(A)自動操作自動復歸 a 接點(B)限時動作 b 接點(C)限時動作 a 接點(D)手動操作自動復 歸 a 接點。
20. 匝比(N1 /N2 )為 a 之三相變壓器,若接線為△一Y,一次側線電壓為 V1,則二次側線電壓為(A)V1 /a (B)(C)(D)aV1。
23. 下列何者為故障表示器電驛之符號?(A) (B) (C) (D)
35. 符號「」是表示(A)短路(B)接地(C)日光燈(D)開關。
40. 如左圖所示,下列何者為 Y 的輸出?(A)A(B)1(C)0(D)
48. 如下圖中控制管路的接口為(A)A,B(B)Z(C)R(D)P。
49. 變壓器三相連接中之 Y-Y 接線,線電壓為相電壓之(A)倍(B)倍(C)倍(D)倍。
52. 如下圖所示,當 A≠B 時,Y 輸出為 1;A=B 時,Y 輸出為 0,則此邏輯閘應為(A)反互斥或閘(B)或閘(C)及閘(D)互斥或閘。
53. 如下圖所示,下列何者為正確的 PLC 迴路? (A) (B) (C) (D)
58. 如下圖所示,在 PLC 電路中,會產生(A)鋸齒波(B)三角波(C)方波(D)直線波。
63. 有關三相交流發電機的電源,下列敘述哪些正確?(A)若△接時正相序時,其線電流超前其對應的 相電流 30°(B)若 Y 接正相序,則各線電壓分別滯後其對應的相電壓 30°(C)△接時線電流為相電流的倍(D)Y 接時的線電壓為相電壓的倍。
64. 下列圖中之符號,哪些可供專用雙插座使用?(A) (B) (C) (D)
69. 如下圖所示之定時器(Timer)動作時序圖中,其接點為下列哪些型式?(A)接點 2 為延時 a 接點(B)接點 3 為延時 b 接點(C)接點 1 為瞬時 b 接點(D)接點 1 為瞬時 a 接點。
70. 三組電力電容器採用 Y 接線時,下列敘述哪些正確?(A)其中性點應接地(B)電容器外殼不宜與中性 點共同接地(C)會產生高諧波電流干擾通訊系統(D)若電源為 34W 式,中性線電流易引起接地電驛誤動作。
78. 按鈕開關常開 a 接點的電路符號為(A) (B) (C) (D)
79. 下列哪些圖為單相感應電動機接線圖?(A) (B) (C) (D)
80. 如下圖所示,若以二單相交流瓦特表法量測三相交流功率時,下列敘述哪些正確?(A)當 W1 =W2 且 均為正值時,此時功率因數 PF=1(B)當 W1 =-W2 其值為一正一負時,此時功率因數 PF=0(C)當二瓦特 表一正、一負,但值不相等時(W1≠-W2 ),PF<0.5(D)當二瓦特表均為正值,但並不相等時(W1≠W2 ), PF>0.5。