阿摩線上測驗
登入
首頁
>
自動控制學
> 108年 - 108 高等考試_二級_機械工程:自動控制學#79583
108年 - 108 高等考試_二級_機械工程:自動控制學#79583
科目:
自動控制學 |
年份:
108年 |
選擇題數:
0 |
申論題數:
10
試卷資訊
所屬科目:
自動控制學
選擇題 (0)
申論題 (10)
⑴推導系統的運動方程式(equation of motion)。(10 分)
⑵若吊桿在θ = 30度附近操作,求線性化數學模型和轉移函數並定義其 輸入和輸出。(10 分)
⑶分析此開路系統之穩定性(stability)。(5 分)
⑴求使系統穩定之 k 的範圍。(10 分)
⑵當 k 為何值時系統有一對極點(pole)落在虛軸?(15 分) u g L m θ r(t) c(t)
三、⑴說明系統 G(s)的波德 (magnitude)的漸近線斜率有一對一關係的條件並寫出此關係
⑵下圖為滿足上述條件系統的波德圖之漸近線 繪出其相位角。(15
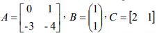
⑴推導此系統的轉移函數
⑵說明 G(s)無極點零點對消
的條件
⑶
,求此系統的轉移函數
相關試卷
115年 - 115 關務特種考試_三等_機械工程(選試英文):自動控制#138983
115年 · #138983
114年 - 114 高等考試_二級_機械工程:自動控制學#131590
114年 · #131590
114年 - 114 關務特種考試_三等_機械工程(選試英文):自動控制#126653
114年 · #126653
113年 - 113-2 國營臺灣鐵路股份有限公司_從業人員甄試_第8階-助理工程師-電機:自動控制#137141
113年 · #137141
113年 - 113 高等考試_二級_機械工程:自動控制學#123065
113年 · #123065
113年 - 113 關務特種考試_三等_機械工程(選試英文):自動控制#119475
113年 · #119475
112年 - 112 地方政府特種考試_三等_機械工程:自動控制#118354
112年 · #118354
112年 - 112 高等考試_二級_機械工程:自動控制學#116760
112年 · #116760
112年 - 112 高等考試_三級_機械工程:自動控制#115741
112年 · #115741
112年 - 112 關務特種考試_三等_機械工程:自動控制#113920
112年 · #113920