所屬科目:技檢◆電力電子-甲級
2. 布林代數 等於(A) (B) (C)A⊙B(D)A⊕B。
3. 下圖所示之電壓波形,其平均值為多少伏特?(A)3.18(B)7.07(C)2.5(D)5。
5. 下圖所示之電路,當其中的開關 S1 閉合(ON)之後,SCR 將如何?(A)瞬間導通(B)截止導通(C)延遲 導通(D)間歇導通。
6. 如下圖所示,VS=100sin377tV、E1=50V,此電流 i1 開始導通的角度 α 為何?(A)α=45°(B)α= 60°(C)α=20°(D)α=30°。
13. 某電晶體之最高接面溫度 Tj=150°C,若熱阻,而周圍溫度TA=25°C,則此電晶體之最大功率散逸為多少?(A)110W(B)135W(C)100W(D)125W。
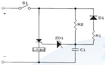
16. 下圖所示之電路,其中 R2 之設計考量為何?(A)與 R1 之阻值有關(B)只須配合 SCR 之閘極電流 Ig (C)只與 C1 之電容量有關(D)與 C1 電容量及 SCR 之閘極電流 Ig 都有關。
17. 如下圖所示,二極體為理想特性;若 Vs=100sin377tV,則輸出電壓Vo 的平均值為何?(A)63.6V(B)7 0.7V(C)100V(D)31.8V。
22. 下圖所示電路為(A)變頻器(B)昇壓-降壓截波器(C)昇壓截波器(D)降壓截波器。
23. 如下圖所示之 AC 濾波器,下列敘述何者為錯誤?(A)此濾波器乃用來消除共模和差模干擾電流(B) C1 為用來旁路任何低頻的差模電流(C)C2 與 C3 為用來旁路往大地的共模電流(D)L1 與 L2 為用來 抑制任何共模電流。
25. 一直流降壓式轉換器之電路如下圖所示,設電路由理想元件組成,並操作於穩定狀態。若開關切換頻率為 100kHz,VS=10V,VO=8V,R=40Ω,L=100μH,電感電流為連續,則 最小值為多少A?(A)0.12(B)0.10(C)0.06(D)0.08。
28. 如下圖所示緩震器(Snubber)電路,假設 Rs=100Ω,Cs=200nF,GTO 截止時其阻斷電壓為 200 V,若 GTO 切換頻率為 2.5kHz,則 Rs 消耗功率為多少?(A)20W(B)25W(C)10W(D)15W。
30. 下列前置倍數(Prefix Multipliers)符號之意義,何者為錯誤?(A),M=106(B)p=,T =(C)(D)。
32. 下圖所示之符號,為何種元件之圖示符號?(A)Darlington Power Transistor(B)IGBT(C)SCR(D)GTO。
33. 下圖所示之電路,電流 I 為多少?(A)5A(B)6A(C)4A(D)3A。
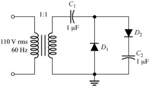
35. 試求下圖中 C2 電容的電壓為(A)220V(B)110V(C)155V(D)310V。
36. 下圖所示電路之等效電感為多少亨利?(A)3H(B)9H(C)5H(D)15H。
45. 下圖(a)中的 LED 所發出光線的特性如圖(b)所示。忽略 LED 的順向電壓,試求產生的輻射(光線) 功率,單位為 mW,下列何者正確?(A)80mW(B)60mW(C)20mW(D)40mW。
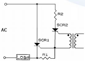
46. 下圖所示之電路,其中兩個 SCR 之耐壓的選擇為何?(A)無特定之規則(B)SCR1=SCR2(C)SCR1>S CR2(D)SCR1<SCR2。
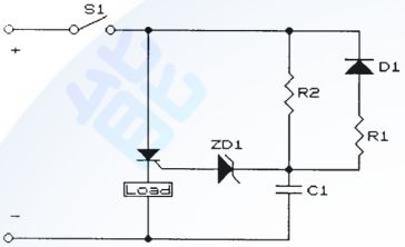
47. 下圖所示之電路,其中齊納二極體 ZD1 之作用為何?(A)做觸發電路之穩壓保護(B)做閘極限壓之保 護(C)吸收湧浪電壓(D)檢知電容 C1 之電位。
48. 如下圖所示之單相全波全控雙整流器電路,若輸入電壓為 V、閘流體均為理想、R=10Ω、LF=50mH、編號 1 整流器觸發角 α1=60°、編號 2 整流器觸發 角 α2=120°,求一號整流器的輸出平均電壓為多少?(A)127V(B)97V(C)107V(D)117V。
50. 下圖電路中,E=5V,L=200μH,電感初值電流為 2.5A,若開關 S"ON",則 100 後電感電流 為多少安培?(A)6A(B)5A(C)8A(D)10A。
57. 如下圖所示,二極體 D m 的主要功能為何?(A)作功率控制用(B)作電壓控制用(C)作頻率控制用(D)作 電感電流的飛輪使用。
62. 如下圖所示電路,若 R=100kΩ、C=10μF、Vi =2sin V,下列敘述何者正確?(A)積分電路(B)穩 態 Vo= 2cos V(C)穩態 Vo= -2cos V(D)微分電路。
66. 下列何者為光敏電阻(light sensitive resistor)的符號?(A) (B) (C) (D) 。
67. 下圖所示電路中,直流電源電壓 V=12V,線路電阻 R=4Ω,調整負載電阻 RL,以產生最大功率 傳輸至負載,則下列敘述何者正確?(A)選擇 RL=0Ω(B)傳送負載功率為 18W(C)選擇 RL=4Ω(D)傳 送負載功率為 9W。
68. 二進制的數值(10100) 2 轉換不同進制,下列何者正確?(A)(B)(24) 8(C)(D)。
69. 下圖所示電路,欲測量 50kΩ 電阻器兩端之電壓,用伏特計 V1 其靈敏度 S=1kΩ/V 及伏特計 V2 以靈敏度 S=20kΩ/V 來測量,伏特計均放在 50V 檔,試計算兩伏特計之讀值?(A)V1=30V(B)V2 =50.36V(C)V1=40V(D)V2=48.36V。
72. 下圖所示三相半波整流電路具有純電阻負載,下列哪些選項正確?(A)漣波因數約為 0.182(B)波形因數約為 1.02(C)二極體峰值逆向電壓為相電壓最大值 Vm(D)整流效率(rectification efficiency)約為 0.81。
74. 下圖所示之導通-截止(on-off)控制之交流電壓控制器,輸入電源為 ,純電阻性負載。閘流體開關控制導通 m 個週期,截止 n 個週期,重複循環,下列哪些選項正確?(A)負載端電壓有效值為 (B)各閘流體電流平均值為 0 A(C)電源側功率因數為 (D)負載端電壓平均值為 0 V。
77. 下圖所示電路,若 L=12mH,C=3μF,負載 R=10Ω,Vi=4sin(125.6t)V,下列敘述何者正確?(A)輸出電壓 Vo 峰值約為 2V(B)Vi 與 Vo 相位相差 180°(C)輸出電壓 Vo 峰值約為 4V(D)Vi 與 Vo 同相位。
79. 電源 v(t)=100sin(377t) V,交流電源送出的電流為 i(t)=10sin(377t) A,則電源送出的瞬間功率 p (t)和平均功率 為何?(A) =500 W(B)p(t)=500+500sin(377t) W(C)p(t)=500+500sin(754t) W(D) =1000 W。
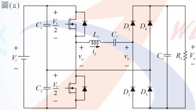
80. 串聯諧振式直流-直流(dc-dc)轉換器如下圖(a),穩態的交流電路分析如下圖(b),下列何者正確? (A)基本波振幅 (B)基本波振幅 (C)基本波振幅 (D)基本波振幅 。