所屬科目:國中◆數學
1. 如下圖所示,若以 A 至 B 方向為正向 x 軸,以 C 至 D 方向為正向 y 軸,則圖中的 E 點在第幾象限? (A)第一象限 (B)第二象限 (C)第三象限 (D)第四象限。
2. 設 A(-2,3)為直角坐標上的一個點,若以原單位長的為新的單位長,則 A 點的新坐標為何? (A)(-3,2) (B) (C) (D)
7.如下圖所示,直角坐標平面上有 A(-2,2)、B(3,2)、C(k,-3) 及 D(k,1),其中-2 <k<3,則多邊形 ACBD 的面積為多少? (A) (B)6 (C) 10 (D) 12。 3
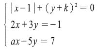
8.若兩相異直線 2x-3y=9、-3.x + py = q 平行,則 p 及 q 有何限制? (A) (B) p≠ 及 q=4 (C) (D)
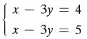
9.若聯立方程式 的解為直角坐標上的點,則 a+k =? (A)3 (B)6 (C)9 (D) 12。
10.如右圖所示,在直角坐標平面上有一以原點為圓心且半徑 為 1 的圓,且有兩直線 L:x-y=1 及 M:x+y=0 與此圓相交, 試求出色塊區域的面積為多少? (A) (B) (C) (D)
13.已知-1 <a<0,則點(a + − a)會落在坐標平面上的第幾象限內? a a (A)第一象限 (B)第二象限 (C)第三象限 (D) 第四象限
14.如下圖,象棋盤上,若位於坐標(1,-2),位於坐標 (3,-2),則位於下列哪一個坐標? (A)(1,3) (B)(1,-1) (C)(-1,2) (D)(-2,1)
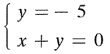
15.若(a-b,ab)在第三象限,則下列哪一個點在第一象限? (A) (a,b) (B) (C)(b 2 ,a) (D) (-a,b)
18.如下圖,直線 L:x-y=5 交 x 軸於 A 點,若由 A 點向下走 2 個 單位長到達 B 點,則還需要向左走幾個單位才可再回到直線 L 上? (A)1 單位 (B)2 單位 (C) 4 單位 (D) 6 單位
20. 如下圖,在坐標平面上有 A、B、C 三點形成一個三角形, 若有一直線 CD 將△ABC 面積平分,D 在 AB 上,試問直線 CD 的方程式為何? (A) 5x +2y-4 = 0 (B) 3x - 2y -5=0 (C) 4x -y-6=0 (D) 2x - 4y +5=0
22. 如下圖,坐標平面上的兩直線,可以用下列哪一個方程組來表示最適合?(A)(B)(C)(D)
23.如下圖,在坐標平面上,L1 為 y= ax+b 的圖形,L2 為 y= cx +d 的圖形,L1 、L2 相交於 P(3,3)。若 k >3,且 2(k,y1 )在L1 上, R(k,y2 ) 在L2 上,則下列敘述何者一定正確?
(A)y1 >y2 (B)y1 <y2 (C)y1 = y2 (D)y1 、y2 .無法比較
24.如下圖為 y = ax +b 與 y = c 在坐標平面上的圖形,對於 b 與 c 的大小關係,下列何者正確? (A) b < c (B) b = c (C)b>c (D)無法比較 b、c 的大小
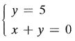
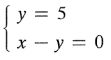
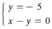
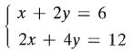
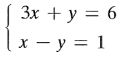
25.下列哪一個方程組的圖形為不相交的兩直線?(A)(B)(C)(D)