所屬科目:教甄◆數學專業
3. 若a 、b為實數,則之最小值為何? (A) (B) (C) (D)
4. 小明到畫廊賞畫(如圖),牆壁上懸掛一幅山水畫AB,A點,B點分別離地4公尺,2公尺 高,若小明的眼睛C離地1.5公尺高,則C離牆壁多遠時,他對該幅「山水畫」的視角θ 最大? (A)公尺 (B)公尺 (C)公尺 (D)公尺。
5. 如圖,A, B, C 分別為正立方體三稜的中點,則過 A, B, C 三點的平面與此正立方體的截痕形狀為何? (A)六邊形 (B)五邊形 (C)四邊形 (D)三角形。
6. 的解為 x=α,x-10+logx=0 的解為 x=β,則為何? (A)1 (B)5 (C)10 (D)100。
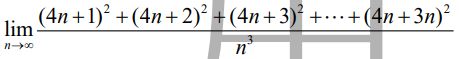
7. 求值= (A)24 (B)33 (C)93 (D)279。
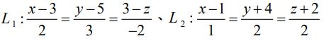
9. 設兩歪斜線 ,平面 E :2x-y=6 。若 A 點在 L 1上,B、C 兩點在 L 2 上,且△ABC為正三角形。請選出所有的正確選項? (A)直線 L 2 與平面 E 平行 (B)當△ABC有最小面積時,A 點坐標為(1, 2 ,1) (C)當△ABC有最小面積時,A 點在直線 L 2 的垂足坐標為H(0 ,-6 ,-4) (D) △ABC的最小面積為
10. 已知多項式函數f(x)=x3-9x2+26x-28,請選出所有正確的選項? (A)函數f(x2-4x+3)除以(x-3) 的餘式為-28 (B) (C)若函數f(x)的圖形在點(2 , -4)的一次近似直線為 L,則 L與坐標軸圍成的三角形面積為16平方單位 (D)不等式f(x)<2的正整數解有5個。
11. 一袋中有 10 個紅球,5 個黑球,若小華每次從袋中抽一球,看完顏色後又將球放回袋中,若連續出現三次同一顏色球就停止。a 為恰好抽三次停止的機率;b 為在第一次抽中紅球的情況下,恰好在第四次停止的條件機率;c 為在第一、二次都抽中黑球的情況下,恰好在第五次停止的條件機率。則下列哪些選項是正確的? (A) a≤b (B) b<c (C) c≤a (D) a=b+c
12. 已知圓周上有8個不同的等分點﹒選出正確的選項: (A)以這些點為頂點,可決定24個直角三角形 (B)以這些點為頂點,可決定24個鈍角三角形 (C)以這些點為頂點,可決定8個銳角三角形 (D)以這些點為頂點,可決定70個四邊形。
一、填充題1.已知a,b 為實數,且a+b=13,試求的最小值?______
3.小青隨機地從1, 2, 3,…, 20中取一個數A,小玲再隨機地從1, 2, 3,…, 20中任取一個異於A的數B。 試求|B-A| ≥ 3的機率?______
5.已知實數a>1,正方形 ABCD 的面積為 144,其中 與 x 軸平行,且 A、B、C 分別為函數圖形上的點,試求=______
6.設f(x)=x3+3x2-4x-2,g(x)=x4+6x3+5x2-16x-2且α,β,γ 為f(x)=0的三個根,則=______
二、計算證明題1.對所有的正整數n,若數列的前n項之和 恆成立,求之值為何?
2.(1)已知自然常數 ,試寫出並證明之。
(2)已知,求= __________。