所屬科目:教甄◆物理科專業
1. 一噴管以 200m/s 之速率噴出密度為 2.0kg/m3的氣體,速度的方向與接觸面的法向量成 30°,如圖所示。設氣體分子與接觸 面作彈性碰撞,則氣體作用於接觸面的壓力為?
2. 如圖所示,一均勻木棒兩端各以長度比 3:5 之 a、b 兩輕繩懸於同一點,若木棒之重心與左右兩端距離比為 2:3 時,則 a、b 兩 繩張力之量值比為?
5. 一固定在桌面上的圓球,其半徑為 R,另有一質量為 m 的 質點從球的頂端由靜止下滑,如圖所示,假設質點 m 下滑的過程中無摩擦力,且不計空氣阻力,重力加速度為 g,求質點 m 離開球面至落地所需時間為何?
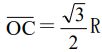
6. 如圖所示,透明半圓形介質,半徑為 R,若光線在半圓面入射,恰在 OB 面發生全反射,已知,則該透明半圓形介質之折射率為?
7. 下圖為一光纖側面剖面圖,其中核心及外層物質的折射率分別為n1及n2,且n1 >n2,光纖全長 L,今隨著入射角 θ不同,光在核心中傳播的時間也不同,求光在光纖核心中傳播所需最長時間與最短時間的時間差為何?
10.兩同心金屬薄球殼,O 點為共同球心,外球殼半徑為 3R,內球殼半徑為 R,A 點在距球心 2R 處。在內外球殼之間接上電動勢 ε 之電池,正極接內球殼,負極接外球殼,如右圖所示。則拆下電池後,此兩金屬薄球殼儲存的電能為何?(庫倫常數為 k)
11.如圖所示,彈簧之力常數為 k,細長均質棒之長度為 L,質量為 m,彈簧之上端固定且下端宇細長均質棒之一端相連。若以該細長均質棒之中心為固定點,將該棒之另一端稍推向上側而放開,試求小震盪之週期為何?
15.如圖所示,長度為 L1、L2之兩相同材料及粗細的電阻線圍成一圓,電流 I 由 P 點流入,Q 點流出,則 L1 段在圓心 O 點所建立之磁場量值為何?