所屬科目:教甄◆物理科專業
1. 馬克士威方程式(Maxwell's equations)的微分形式,如表所示。此四微分形式與 高中物理課程中的(P)庫侖定律、(Q)法拉第電磁感應定律、(R)安培定律的物理意義相近。有關微分形式與上述物理定律之間的對應,下列何者正確? (A)甲-Q;乙-Q;丙-R (B)甲-P;丙-Q;乙-R (C)甲-Q;丁-P;乙-R (D)甲-P;丙-Q;丁-R
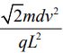
2. 一質量m 且電荷為q的墨滴,以速率v進入兩片帶電平行金屬板形成的均勻電場E 中,如圖所示。兩平行金屬板間距d,金屬板長度為L,墨滴由兩板正中央進入電場,若墨滴可順利通過帶電板的電場區域,不碰及任一帶電板,此區域的電場量值 最大為下列何者? (A)(B)(C)(D)
3. 一質量m的粒子,以速度 v,相對於水平面45o 的夾角,斜向上射出。當粒子位於拋物線軌跡最大高度 h 時,相對於原發射點,粒子的角動量量值為下列何者? (A) 2mvh (B) (C) (D) mvh / 2
4. 一衛星以速率v環繞地球做等速圓周運動,週期T。已知重力常數G,則地球的質量應為下列何者? (A) (B) (C) (D)
5. 有一半徑R的半球形均勻水泥造型裝置,如圖所示。將可視為質點的一小木塊,置於裝置頂端至距其下方鉛直距離h的半球形表面的任一位置時,皆呈靜力平衡。若 再降低小木塊位置,木塊就會開始滑落。已知R為10 m,h為2 m,則此小木塊與半球形水泥表面的靜摩擦係數為下列何者? (A) 0.75 (B) 0.50 (C) 0.30 (D) 0.20
6. 如圖所示的電路配置圖,通過10 Ω電阻的電流值為多少A? (A) 0.08 (B) 0.24 (C) 0.32 (D) 0.46
7. 如圖所示,甲、乙、丙三球在光滑平面上排列成一直線,三球質量依序為3m、2m 、 m 。最初甲獲得速度量值v 向右運動,而乙、丙靜止,若甲球一維正面碰撞乙球, 乙球再一維正面碰撞丙球,且所有碰撞皆為彈性碰撞,則最後碰撞結束,三球的總動量量值為下列何者? (A) 6mv (B) 3mv (C) 2mv (D) 0
9. 某生自行設計共鳴空氣柱實驗,如圖所示。在管口一端吹氣時,聽到音量最大的聲音,量出此時吸管內橡膠頂端距管口為19 cm。繼續將橡膠緩慢向上推動,當其距管口為 12 cm 時,又聽到音量最大的聲音。已知當時的氣溫約為 20 ˚C,估算此空氣柱的共振頻率為多少Hz ? (A) 816 (B) 1225 (C) 2450 (D) 4900
10. 已知地球表面的脫離速率為。若在另一密度與地球相同,但半徑為地球的4倍的行星表面,其脫離速率為下列何者? (A) (B) 2 (C)3(D) 4
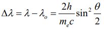
4. 康普頓發現以X光射入物質中,散射的X光群中有一部份波長會變長的現象,稱為 「康普頓效應」。若h為普朗克常數、c為光速、me為電子質量、θ 為X光的散射角、 ∆λ為散射波長λ與原有波長λo的差,也就是 ∆λ=λ−λo 。請推導康普頓散射的公式:
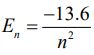
(2)利用電位能、力學能概念,推導波耳氫原子模型能階公式,n為正整數 (6分)