所屬科目:初等/五等/佐級◆電子學大意
2 某增強型 NMOS 場效電晶體的 = 1 V 、 (W / L) = 25 μA/V2 ,今若其源極(Source)電壓 0.5 V,汲極(Drain)電壓 1.5 V,閘極(Gate)電壓 1.0 V,則此電晶體工作在: (A)飽和區(Saturation Region) (B)截止區(Cutoff Region) (C)三極體區(Triode Region) (D)主動區(Active Region)
3 有一電壓訊號 v(t ) = [sin(2000π t ) + sin(6000π t ) + sin(10000π t ) ]此訊號的週期 T 為何? (A) T < 0.9 ms (B) 0.9 ms < T < 1.5 ms (C) 1.5 ms < T < 17 ms (D) T > 17 ms
4 二極體的電流可以指數模型 = exp( ) 來表示,其中 為飽和電流,在室溫之下 = 0.025 V 。 若電壓 = 0.7 V 時電流 = 1 mA ,試求二極體的小信號增量電阻(incremental resistance)。 (A) 25 Ω (B) 50 Ω (C) 250 Ω (D) 700 Ω
6 如圖為雙極性差動式放大器含射極電阻 ,已知電晶體 Q1 和 Q2 的基極內電阻 、射極內電阻 、 轉導 ,共基極電流增益 α 和共射極電流增益 β ( β >> 1) 等參數均相同,試求差動增益 之值? (A) (B) (C) (D)
7 在金氧半場效電晶體(MOSFET)中,已知轉導 、爾利電壓(Early voltage) 、汲極電流 和 輸出阻抗 等的參數,下列關係何者正確? (A) (B) (C) (D)
8 厚度為 1 密爾(mil)之矽晶片,若均勻摻以濃度為 的磷原子,及濃度為 的硼原子,則其片電阻(sheet resistance)約為何?(設電子移動率為 1300 cm2/Vs,1 密爾 = 25.4 μm) (A) 1040 Ω/□ (B) 640 Ω/□ (C) 240 Ω/□ (D) 40 Ω/□
10 有一共源極放大器(common source amplifier),其增益為 A = -20 ,且 = 50 fF , = 10 fF ,則 其輸入電容(input capacitance)應為多少 fF? (A) 1030 (B) 520 (C) 260 (D) 110
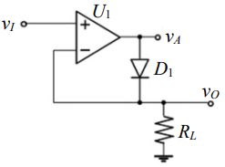
11 如圖所示電路,U1 為理想運算放大器。假設二極體導通電壓 = 0.7 V ,已知電阻 = 1 kΩ 。對於 電路輸出與輸入電壓之間的轉移特性,下列曲線何者正確? (A) (B) (C) (D)
13 圖示為一個理想箝位電路(D 為理想二極體),當其輸入正弦信號 sin(ω t ) 伏特時,假設 RC 時間常數遠大於 1 / ω ,測得穩態輸出信號 vo (t ) 的直流準位為 4 伏特、振幅為 10 伏特,則偏壓電源 應為多少伏特? (A)-6 (B)-4 (C)6 (D) 16
15 vi (t ) = 10sin(ω t ) 伏特的正弦信號輸入圖示的理想截波電路( D1 與 D2 為理想二極體),則偏壓電源 V1 與 V2 為下列那一種組合時,輸出信號的峰對峰電壓值將為 6 伏特? (A) V1 = -1 伏特, V2 = -7 伏特 (B) V1 = -3 伏特, V2 = 9 伏特 (C) V1 = 2 伏特, V2 = 8 伏特 (D) V1 = 4 伏特, V2 = 2 伏特
17 典型半波整流-電容濾波電路(理想二極體)輸入 = 18sin(37700 t ) 伏特,當電路中電容值 C = 10 μF 與負載 = 5 kΩ 時,求該電路輸出之漣波電壓峰對峰值 約為多少伏特? (A) 0.03 (B) 0.06 (C) 0.18 (D) 0.3
18 圖示理想變壓器中有關初級電壓(V1)、初級電流(I1)及輸入等效電阻(R1),次級電壓(V2)、 次級電流(I2)及負載電阻(R2)間之關聯性,下列敘述何者正確? (A) V1 = 2V2 (B) I1 = 2I2 (C) R1 = 2R2 (D) I1V1 = 2I2V2
19 圖中二極體 D1 之導通電壓為 0.7 伏特,導通電阻為 0 Ω, R = 10 Ω ,若輸入電壓 = 3sin10 t 伏特, 則的最大值為多少伏特? (A)3 (B) 1.7 (C)1 (D) 0.3
20 下圖電路中二極體 D1 之導通電壓為 0.7 V、導通電阻為 40 Ω。電容 C 兩端之初始跨壓為 0 V,則電 阻 R 流過的最大電流值為何? (A) 0 mA (B) 46 mA (C) 60 mA (D) 74 mA
21 圖中二極體 D1 之導通電壓為 0 伏特、導通電阻為 0 Ω,電容 C 兩端之初始電壓為 0 伏特, = 10sin10 t 伏特,下列何者錯誤? (A) 之穩態輸出含弦波 (B) 最低電壓為 -20 伏特 (C) 最高電壓為 0 伏特 (D) 之穩態電壓為 -20 伏特
22 圖中輸入信號為弦波 = 5sin10 t 伏特,二極體 D1 之導通電壓為 0.7 伏特,導通電阻為 0 Ω。OP 為理想之運算放大器,電容 C 之初始電壓為 0 伏特。電路穩定時,下列敘述何者正確? (A) = 5sin10 t 伏特 (B)輸出為直流電壓,電壓 = 5 伏特 (C)輸出為直流電壓,電壓 = 4.3 伏特 (D)輸出為直流電壓,電壓 = -5 伏特
23 如圖所示為一放大器小訊號模型,其輸出電壓 為何? (A) (B) (C) (D)
25 如圖所示之共源極放大器之增益為何?(假設電晶體之轉導為 ,輸出電阻為 ,電流源之輸出電 阻為 。) (A) (B) (C) (D)
26 如圖所示之 PNP 雙極性電晶體(BJT),下列何者為其輸出特性曲線圖? (A) (B) (C) (D)
27 如圖所示之 FET 之自給偏壓式電路,若汲極靜態電流為 0.2 mA,則閘源極偏壓 為多少? (A)-5 V (B)5V (C)-6 V (D)6V
28 圖示的電晶體放大電路,求輸出 不失真之最大振幅約為多少? (A)1V (B)2V (C) 2.8 V (D) 3.8 V
29 圖示電晶體放大器之固定偏壓電路中, = 2 V。若要將 改成 6 V,電晶體之 β 值應改為多少? (電晶體其他特性參數不變。) (A) 150 (B) 100 (C) 40 (D) 25
30 圖示之空乏型金氧半場效電晶體(MOSFET)的特性參數包括:夾止電壓 = -4 V 、於 = 0 V 的 夾止飽和電流 = 16 mA ,該 MOSFET 的輸出直流偏壓 等於多少? (A)2V (B)3V (C)4V (D)5V
31 分析如圖之電路,若雙極性接面電晶體(BJT)操作在順向主動區(forward active region)且轉導值為 10 mA/V ,電晶體之 β = 10 , = 10 kΩ , = 10 kΩ 。忽略元件之輸出阻抗 ,求= ? (A) 10/11 (B) 20/11 (C) 10 (D) 100
32 如圖所示之電路,若電晶體操作在飽和區(saturation region),下列何種調整方式可使電晶體進入主 動區(active region)?
(A)提高 (B)提高 (C)提高 R(D)選用逆向飽和電流(Is)較大之 BJT 電晶體
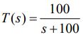
33 某電路之轉移函數: ,當角頻率為 100 rad/sec 時, T ( s ) 之相角為: (A) -90° (B) -45° (C) 45° (D) 90°
34 圖示為理想運算放大器組成的電路,運算放大器的輸出飽和電壓為 ± 12 V, R1 = 10 kΩ 、 R 2 = 40 kΩ , 輸出電壓 原為 -12 V ,輸入電壓 為下列何者電位時,可以使輸出 為 +12 V ?
(A)-4 V(B)-2 V(C)2V(D)4V
35 如圖所示為一電容耦合之雙極性電晶體放大器。電晶體的 β = 100 , = 0.7 V , = 25 mV 。忽 略爾利效應,求 之值約為何? (A)-20 (B)-28 (C)-40 (D)-100
36 如圖為考畢子振盪器(Colpitts Oscillator),已知 C1 = 0.01 nF 和 C2 = 0.66 nF 和 L = 100 mH ,求振盪頻率約為多少? (A) 19.5 kHz (B) 122 kHz (C) 160 kHz (D) 1 MHz
37 如圖直接耦合串級放大器電路中,已知電晶體 Q1 和 Q 2 的電流增益分別為 β 1 = 50 和 β 2 = 100 ,若 Q1 和 Q 2 的 都是 0.7 V 且輸出阻抗 不計,求電晶體 Q1 的射極電壓 約為多少?(A) 0.8 V (B) 1.8 V (C) 2.8 V (D) 3.8 V
38 如圖為變壓器交連金氧半場效電晶體(MOSFET)放大器,若電晶體 Q 的有效值汲極電流 = 1 A, = 10 Ω ,圈數比 n = 5 ;求 上之輸出功率為多少瓦特? (A) 500 (B) 250 (C) 100 (D) 50
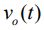
39 如圖雙穩態電路,其 R1 = 10 kΩ 且 R2 = 16 kΩ ,若在 t = 0 時輸出電壓 飽和在 +13 V ;當在 t > 0 時, 輸出電壓 突然由 +13 V 轉態並飽和在 -13 V ;在 t > 0 時,引起輸出電壓 突然轉態的輸入電壓 狀態為何? (A) > -5 V (B) < + 5 V (C) < - 5 V (D) > +5 V
40 如圖所示波形產生電路,U1 為理想運算放大器,且飽和電壓(Saturation voltage)為 +10 V 與 -10 V , 已知 R1 = 100 kΩ 、 R2 = 1 MΩ 、 R3 = 500 kΩ 、 C = 0.01 μF 。試求輸出電壓 之頻率約為多少? (A) 220 Hz (B) 550 Hz (C) 1.1 kHz (D) 5.5 kHz