所屬科目:教甄◆物理科專業
2. 如右圖所示,在折射率為 n2,厚度為 d 的玻璃上鍍上一層折射率為 n1(n1 > n2)、厚度為 t 的透明薄膜,且玻璃厚度遠大於薄膜(d >> t)。令 一道白光以入射角照射薄膜。某些特定波長的光不會出現反射,請計算出反射光中,消失光的波長 λ 須滿足之數學形式。
5. 如下圖所示,載流無限長直導線的電流為 I,一矩形線圈與長直導線共平面,試求通過矩形線圈面積上的磁通量。
6. 一質量 10 公克、帶電量庫侖的物體,置於傾斜角 37°且被固定的斜面上,而物體與斜面間的動摩擦係數為 0.5。設斜面置於垂直紙 面的均勻磁場 B = 0.8 特斯拉中,如圖所示。設斜面足夠長,則物體在下滑期間的最大速率為多少公尺/秒? (重力加速度量值 g=10 公尺/秒 2)
8. 一人造衛星,質量為m,繞地球作等速圓周運動,若開始時圓周運動之半徑為 r0 ,而切線速度為v0 (如圖 1)。若在某一時刻啟動一機制, 令衛星增加一徑向速度 ,而質量m與角動量 L 保持不變(如圖 2)。求後來的軌道衛星離地心的最大距離 r1 和最小距離 r2 分別為何? (以 r0 來表示)
9. 已知曲率半徑為 R,折射率為 n 的薄平凸透鏡焦距 。考慮一個曲率半徑為 20 公分、折射率為 1.5 的平凸透鏡。將平凸透鏡,凸 的那一面鍍上金屬膜,使其變成凹面鏡,如右圖。若在此鏡右邊 15 公分處放一個物體,則經過此鏡的作用後,物體的像會出現在什麼位置?(寫出鏡前或鏡後及像距)
10. 一錐動擺質量 m,質點以速率 v,週期 T 作等速圓周運動。在質點轉半圈的過程中,繩張力對質點所施的衝量量值為何?
11. 一長度為 L、質量為 m 的均勻鐵棒,兩端分別以彈力常數為 k 的等長輕彈簧懸吊如圖。若將鐵棒一端抬高 x,另一端拉低 x 使其震盪,若 x << L,求此震盪的週期為何?
12. 將質量為 m,長度為 L 的均勻木桿直立放置在一光滑的水平面上。有一質量亦為 m 的小物體(物體大小可忽略),沿水平面以 速度 與木桿底部發生完全非彈性碰撞,試求碰撞後,木桿本身之質心的速度。
13. 如圖,輪軸由直徑不同的兩圓盤組成,物體m1=1kg ,由一輕繩經一光滑圓柱連著,而物體m2=3kg ,由另一盤垂直懸吊。若輪軸的轉動慣量為 0.2 kg.m2,r1=1cm ,且r2=5cm 。求m1的加速度大小為何?
14. 如圖所示,一長度為 L、質量可忽略的剛體棒,兩端分別固定有質量為 m1 與 m2 的小球,使剛體棒與轉軸夾 45°作等角速度 ω 轉動,轉軸 通過剛體棒的中點 O(距兩端 L/2)。求該系統相對於 O 點的角動量為何?
15. 如圖所示,行星繞太陽運行,半長軸為 a,行星與太陽最近的距離為 0.5a。若行星在通過太陽且與長軸垂直的直線上之 P 點時,速率為 v1,行星在近日點時速率為 v2,求 v1 與 v2 的比值為何?
16. 已知某杯子的質量為500±1公克,今因實驗用途,以此杯裝指定量的水後,測得總質量為650±5公克。根據上述測量結果,求出加入的水的質量為何?(須注意有效位數)
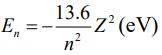
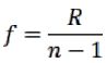
18. 1913 年,莫斯利(H. G. J. Moseley)研究了 38 種元素的 X 射線特性光譜,發現這些元素的 Kα 光譜線頻率的平方根對元素在週期表的位 置,得到一條直線,如圖(2),他證明了原子序才是決定週期表的正確基礎。他的想法是在 X 射線特性光譜上,當 n=1 時,電子是很接近 原子核的,如果考慮 2 個電子,可以運用波耳的原子模型,波耳原子模型能階公式為,視為其中一個電子受到等效原子 序 Z–1 的作用,Z 是原子核中的質子數,-1 是另一個電子的作用,試著利用莫斯利的概念,求 Kα 光譜線的頻率平方根和原子序 Z 關係式的斜率為何?
20. 軌道為傾斜,軌道和水平面有夾角 θ,如圖(2)所示,且 sinθ > μcosθ,試求 a 對Mg 關係式為何?