所屬科目:品質管制(品質管理)
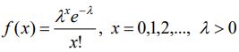
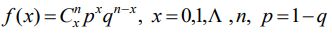
26. 已知二項分配之機率質量函數為;卜瓦松分配之 機率質量函數為。若有一工廠生產螺絲釘,其不良率為1%,試用卜瓦松分配近似二項分配,計算隨機裝取一盒螺絲釘 200 支中,不良品少於 2 支的機率: (A) 0.4060 (B) 0.3613 (C) 0.2707 (D) 0.1353
30. 對− R管制圖的敘述,何者不正確? (A) R 管制圖比管制圖對於資料偏離常態分配較為敏感 (B) 若 R 管制圖有任何點超出管制下限,代表該點有問題,應該去除該點 (C) 應先建立 R 管制圖,並在確認 R 管制圖呈現在控後,再建立管制圖 (D) 平均數管制圖是用來管制製程平均數之變化,亦即數據分配之集中趨勢的變化
39. 承 37 題,若該製程的規格界限為54 ± 10,請求製程能力指標=? (A) 0.82 (B) 0.97 (C) 1 (D) 1.22
40. 某製程採用單位不合格點數管制圖(u Chart),今蒐集 10 日的檢驗資料如下表,若以2m2,為檢驗單位,請求單位不合格點數之平均數 u̅ ? (A) 0.5 (B) 1 (C) 1.5 (D) 4.5
42. 若 x̅ − S 管制圖之樣本大小 n=5,管制界限如下表所示,請求x̅管制圖在平均數改變至25.79 時,第一組樣本無法偵測到此項改變之機率? (A) 03462 (B) 0.5 (C) 0.5619 (D) 0.6591