所屬科目:教甄◆物理科專業
1. 自離地 H=1.4m 處,以初速度 6.0 m/s 斜拋一體積不計之物體,則物體可能的最大水平射程 d 為多少 m?(忽略空氣作用力、設重力加速度為 10m/s²)(3 分)
2. 如下圖所示,有一個重量為 W 的物體,其與地面之靜摩擦係數為 μ,則以任意仰角拉物體使物體滑動起來,所需之最小施力 F 為何?(3 分)
4. 如圖所示,質量 M₁、M₂ 兩木塊堆疊,並於 M₁ 上施以水平外力 F,已知兩木塊間的靜摩擦係數與動摩擦係數皆為 μ₁,而 M₁ 與地面間的靜摩擦係數與動摩擦係數皆為 μ₂。若外力 F 與 M1 加速度的關係如圖所示,則 μ₁ 為多少?(本題答以不含符號的純數字回答)(3 分)
5. 如圖,一質量為 3 公斤的木塊,靜置於一光滑水平面上,其一側與彈性常數 k 為 4 牛頓/公尺的彈簧連接。若有一質量 m 為 1 公斤的子彈,以速度 v 為 4 公尺/秒水平射入該木塊;考慮子彈嵌入木塊的過程中,木塊同時壓縮彈簧。假設子彈嵌入木塊期間兩者間的作用力對木塊做正功為 2 焦耳,及木塊所受彈簧衝量 J 為 2 牛頓‧秒。則自子彈射入木塊到子彈與木塊相對速度恰為零的期間,彈簧的壓縮量為多少公尺?(3 分)
6. 如圖所示,一半徑為 R 的圓線圈置於均勻磁場 B 中,磁場方向垂直於該線圈圈面。當線圈上通順時針方向的電流 I 時,圓線圈內所受張力為何?(已知磁導率為 μ₀)(3 分)
7. 如圖所示,一電荷以速率 v 垂直射入寬度為 d 的均勻磁場中,射出磁場時偏向位移為 b。則此電荷在磁場中的加速度為何?(3 分)
8. 將長為 a、寬為 b 和電阻為 R 的矩形導線放置在承載電流 i 的無限長導線附近,其以恆定速度 v 遠離長導線。當矩形導線的中心位置與長導線相距 r(b<<r)時,矩形導線上感應電流為多少?(已知導磁率為 μ₀)(3 分)
9. 用兩邊長各為 L、末端重合成 V 字形的鑷子,去夾半徑為 R、質量為 m 的玻璃小球。夾小球時,鑷子在鉛垂面上,若每邊對小球施力為 F,鑷子與小球的接觸點,如圖所示。若鑷子與小球間的作用力 F 不論多大,都夾不起小球,則鑷子與小球之間的靜摩擦係數 μ 的範圍為何?設重力加速度為 g。(3 分)
11. 有一個摩托車騎士利用一個與水平方向夾角 15° 角的斜坡,衝越一個山谷到達到對面的懸崖,已知對面最近的懸崖處,距離斜坡終端的水平距離有 6 公尺,且與斜坡終端處位於同一個水平面,如圖一所示。請問此摩托車騎士離開斜坡終端處的最小速度大小達到 ___ 公里/小時,才可以越過山谷安全到達對面處懸崖。(4 分)
12. 在圖二中,一根不均勻且質量為 m 的木棒,若以 B 端處著地,A 端吊起需用力 $rac{1}{2}$mg,反之以 B 端吊起,A 端處著地則需用力大小為 ________。(4 分)
13. 如圖三所示,一擺長為 L,擺錘質量為 m 之單擺,此單擺拉至擺角 θ 由靜止釋放。假設擺錘擺至最低點時,會與另一質量為 2m,繫於彈簧的物體發生完全正面彈性碰撞,若彈簧的彈力常數為 k,起始時在自然長度且桌面為光滑,則碰撞後彈簧的最大壓縮量為 ________。(4 分)
14. 一對平行的金屬軌道,軌道間距為 L,一端連接電容 C,另一端可無限延長,固定於一鉛直面上,且在該區域有一外加磁場 B,磁場方向垂直於軌道平面,如圖四所示。今有一質量為 m 的金屬棒 PQ,可沿軌道下滑而不分離,今不考慮金屬棒和軌道間的摩擦力,若一開始時電容不帶電,且整個系統的電阻可忽略不計,試求在電容未被擊穿前,金屬棒下滑 H 距離時的速率大小等於 ________。(4 分)
15. 一半徑為 a,總電量 +Q 的均勻帶電圓環固定於 xz 平面,其圓心 O 取為座標的原點,中心軸取為 y 軸,如圖五所示。有一電子質量 m 帶電量 -e,此電子若從 y 軸上距離圓心點 y 處(y≪a)自靜止釋放,此電子將做簡諧運動,則此運動的週期為 ________。(4 分)
16. 折射率為 $rac{3}{2}$、厚度 6cm 之平玻璃板與同樣折射率為 $rac{3}{2}$、半徑 6cm 之半球形玻璃,如圖七所示,分別置於桌面上,今垂直下視之,則 A 與 B(圓心處) 兩點視深相差 ________ cm。(4 分)
18. 一質量 20 克、帶電量為 4×10⁻³ 庫侖的物體,置於傾斜角 37° 被固定的斜面上,而物體與斜面間的動摩擦係數為 0.4,重力加速度 g=9.8 m/s²。設斜面置於垂直進入紙面的均勻磁場 B=0.5 特斯拉中,如圖八所示,若斜面足夠長,則物體在下滑期間的最大速率是 ________ cm/s。(4 分)
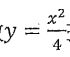
20. 如圖九所示,在 xy 鉛垂平面內,從原點 O 伸出一形狀可用函數 描述的彎杆,杆上穿有一滑塊物體,在不考慮摩擦力下,當滑塊物體下滑至高度為 y₀ 時,它沿杆方向的加速度大小為 ________。(4 分)
30. 請利用安培定律,以高三生能理解的數學方法,說明纏繞 N 匝線圈,長度 L,通入電流為 I 的螺線管,其內部磁場 (3 分)