所屬科目:抽樣方法
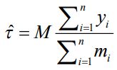
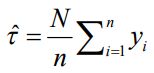
二、將母體按照某一標準分成 N 個集群( mi 為集群 i 中的元素個數,),再由這 N 個集群中用簡單隨機抽樣法抽出 n 個集群,被 N抽中的集群中的每一個元素均被調查。假設 yi 為第 i 個集群中所有觀測值的總和,欲估計母體的總和。母體總和 τ 的估計量有: 比率估計量⑴:不偏估計量⑵:
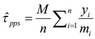
或是由這 N 個集群中用 pps(sampling with probabilities proportional to size)抽出 n 個集群,被抽中的集群中的每一個元素均被調查。則母體總 和 τ 的估計量: pps 估計量⑶:
請說明此三估計量之使用時機。(15 分)
(一)假設用簡單隨機抽樣法抽出 n =10 個臺灣大城市(10 個樣本的號碼如下:2、12、16、20、24、27、32、40、47、56) ,試估計臺灣 60 大城 市之 11 月份平均降雨量 及其估計變異數 ?(10 分)
(二)選擇一組 10 個樣本的系統樣本,為統一起見,一律採用起始號碼 3。 試以此組系統樣本估計臺灣 60 大城市之 11 月份平均降雨量 及其估計變異數?假設母體為隨機排列。 (10 分)
(三)如果採重複系統抽樣,抽出兩個"12 取 1"的系統樣本,為統一起見, 一律採用起始號碼 1 及 6。試以此兩組重複系統樣本估計臺灣 60 大城 市之 11 月份平均降雨量及其估計變異數?(15 分)
五、針對新移民做的一項抽樣調查,想獲得他們對於臺灣移民政策的看法。從政府的登記資料知道新移民中有 60%的女性與 40%的男性。一共抽樣 1,000 人,有 87%(870 位)是女性,13%(130 位)是男性。在 870 位回答的女性中有 566 位贊成,在 130 位回答的男性中有 102 位贊成。由此事後分層,請估計新移民贊成此移民政策的比例及其估計的變異 數。(10 分)