所屬科目:抽樣方法
(二)考慮簡單隨機抽樣,請證明任一母體元素 , N 被選入樣本的 機率為 n/N。
(三)請問下列敘述是否正確?「若任一母體元素, N 被選入樣本 的機率皆相等,則此樣本稱為簡單隨機樣本」 ,若不正確,請舉一反例說明。
(二)考慮分層隨機抽樣,證明在抽樣總成本固定之下,使樣本平均之變異數最小的各層樣本數最佳配置為 ,其中 是第 i 分層的大小,是第 i 分層的變異數,是由第 i 分層獲得一觀察值的成本。
四、考慮系統抽樣,請導出 其中N=nk,ρ 是系統樣本 內任2元素的相關係數,
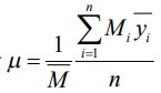
(二)考慮兩階段集群抽樣,證明母體平均估計量是母體平 M n 均 μ 的不偏估計量。其中 。提示:
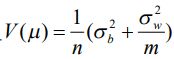
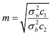
(三)考慮兩階段集群抽樣,由相等大小集群 M 抽取相等大小樣本 m,且當 N 很大時,證明在固定抽樣成本下,使值最小的 m 為其中 c1 是第一階段每一觀察值的成本,c2 是第二階段每一觀察值的成本, 是集群平均間的變異數, 是集群內元素間的變異數。