所屬科目:教甄◆數學專業
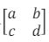
2. 設 a , b, c, d為實數,已知矩陣, 則矩陣為_______ 。
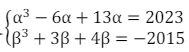
3. 若α, β為實數,且滿足,試求α + β =_______ 。
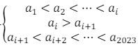
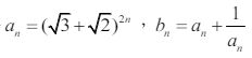
5. 令,求 b2023 的個位數字為_______ 。
6. 已知z1,z2 為複數,且的最小值為________ 。
7. 在△ABC 中,D, E 分別在是∠B的角平分線。 若,則△ABC 的周長為_______ 。
10. 甲﹑乙兩人參加同一考試,甲做錯全部試題的,乙做錯 9 題,而兩人同時做錯的題數為全部試題的 ,若兩人同時做對 n 題 (n≥20),則滿足條件的所有 n 值之總和為_______ 。
1、設 t 是任意實數,試求的最大值為何? (8 分)
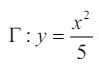
2、如圖,已知 a> 0 ,過 P (a,0) 作一條鉛直線 L ,若 L 與圓 C:x2 (y-2)2=4 及拋物線分別交於 C,B, A 三點,試求= _________。 (8 分)
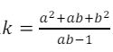
3、設a, b為非負整數,ab ≠ 1,且為非負整數。求所有可能的k值為何? (8 分)
4、三角形ABC,其中a, b分別為∠A, ∠B的對應邊,則請將用a, b表示,並證明之。 (8 分)
5、計算(8 分)
6、空間中兩點A(8, 0, 12), B(7, 13, 13),若 P 點在直線最小值為何?此時的P點座標為何? (10 分)