所屬科目:教甄◆數學
(1)(3 分)
(2)將線段的 n 等分點沿著向量 的方向依序設為 A=P0,P1,……, Pn-1,Pn=P。在每一個 分段,考慮以通過 Pk的水平面與此積木所截的矩形為底、為高,所形成的長方體。 請利用此切片方法寫下估計此積木體積的黎曼和(無需化簡)。 (2分)
6. 試計算定積分: .(5 分)
7. The demand function for a skin care product is modeled by , where p represents the price per unit in US dollars and x represents the number of units demanded. What price will yield maximum revenue? (5 分)
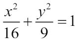
8. 在同一平面上,有一行星繞一恆星運轉,此行星的軌道為 ,另有一飛碟靠近,此飛 碟軌道為 x+y = 20 。試求飛碟行進路線與行星軌道的最短距離。 (5 分)
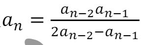
10. 設a1, a2, … , an, …為非零實數數列,滿足 , n = 3,4, … … ..若對無限多 個正整數n,an皆為整數,試求a1, a2須滿足的條件。(15 分)