所屬科目:教甄◆物理科專業
1.在湯姆森的實驗中,陰極射線恰可直線通過板長為L的均勻電場E和均勻磁場B的交織區,且陰極射線的速度和電場與磁場兩兩相互垂直,如圖所示。若除去磁場B,相同速度的陰極射線恰通過電場E時的偏移量為d,藉此可求得電子荷質比。若除去電場E,相同速度的陰極射線恰通過平行金屬板時的偏移量為S,則電子荷質比為__________。
2.有一密閉絕熱容器,以隔板將其隔成體積比為1:2的左右兩室,左室裝入1atm、溫度300K的氦氣,右室裝入2atm、溫度600K的氖氣。若拆除隔板使兩室氣體混合,則混合後氣體的平衡溫度為_______K。
3.眼睛是人類靈魂之窗,構造細密,角膜、水晶體和視網膜僅是其中的三部分。科學家和醫師為探討和說明眼睛看物體的成像機制,將人眼成像機制簡化成等效模型,如圖所示,圖中的凸透鏡相當於眼球的透鏡功能,凸透鏡前方表面如同人眼的角膜位置,成像面代表人眼視網膜位置。等效模型的凸透鏡前後介質的折射率n皆為1,而成像面在透鏡後方28mm處,正常視力的意義是指在觀測一個在無窮遠處的目標物如一面國旗時,此目標物的成像處恰在視網膜的成像面。一名罹患近視眼的學生,未配戴矯正鏡片時,觀測很遠處的一面國旗,此時國旗的成像處卻在圖中等效模型中透鏡後方25mm處,該名學生若未配戴矯正鏡片,卻想看到這面國旗的清楚影像,則國旗最遠可插在透鏡前方____________cm處。
4.承接上題(第3題),上一題的答案說明這名罹患近視眼的學生,在近視狀況能清楚看見物體的最遠距離。若要矯正該學生的視力,宜就醫診斷,專業醫師引導該生配戴適宜鏡片,矯正後才能具有正常視力。若此鏡置於上圖等效模型的凸透鏡前方20mm處,則此鏡片應為何種透鏡?焦距約為多少cm?答案為_____________________。(寫出透鏡種類和焦距)
5.一含有電池與電阻器的電路如右圖所示,兩電池電動勢分別為4V與1V,電阻器的電阻值分別為R1=10Ω,R2=5Ω,R3=10Ω,流經電阻器R1、R2的電流各為I1、I2,則I2為_________安培。
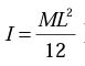
6.一長度為L、質量為M的均勻細長棍棒與一質點小球置於一平滑桌面上。今在同一平滑桌面上有一質量為m、初速為v的質點小球,以彈性碰撞方式垂直撞擊其棒的一端使其從靜止開始運動,而撞擊後小球恰好呈現靜止狀態,則為________。(長棒相對於質心之轉動慣量)
7.設地球為均勻球體,密度為d,則兩個完全相同的單擺,在北極點的擺動週期與在赤道上的擺動週期之比值為________。(地球自轉之角速率為,重力常數為G)
8.麗山高中曾經利用注射筒製作火箭,作為探究與實作課程。令外界大氣壓力為P,注射筒身質量為M,注射筒活塞質量為m,注射筒內截面積為A。實驗步驟如下:
步驟一、將注射筒活塞推到底,擠出筒內空氣。
步驟二、將注射筒口蓋緊塞子。
步驟三、將注射筒身及推到底的注射筒活塞,垂直置放在質量無窮大發射座。
步驟四、施力下拉活塞距離L。
步驟五、隨即放手。活塞與筒身作碰撞。
步驟六、注射筒火箭升空。
令重力加速度為g,請求出升空高度H為________。(請以P、M、m、g、A、L表示)
9.如圖所示,在折射率為n2、厚度為d的玻璃上鍍上一層折射率為n1(n1>n2)、厚度為t的透明薄膜,且玻璃厚度遠大於薄膜(d>>t)。令一道白光以入射角照射薄膜,某些特定波長的光不會出現反射,則這些部會反射的光,其波長滿足的數學形式為_________。
10.一彈簧上端固定於牆壁上,下端繫著質量為M的物體而達平衡。突然間M爆裂成質量1:3的兩塊碎片A、B,其中物體B爆炸後瞬間下落速率為v1,經過一段時間後,物體B的下落速率變為v2,且此時物體A上升的速率為u。則這段時間中,彈力對物體A所作用的衝量為________。
11.當觀察者和頻率為240Hz的聲源以相對於地面速度為?相互靠近時,觀察者測得聲源的頻率為288Hz。而當觀察者和聲源相對於地面以相同的速度?相互遠離時,觀察者測量到的聲源頻率為________Hz。
12.一名游泳者在平靜的湖面中,以2√2m/s的恆定速度向正東北方游泳。有一艘船以1m/s的恆定速度向正東行駛,游泳者從該艘船尾的鏡子中觀察到自己的影像,則在鏡子中觀察到自己影像的速度為________m/s。
13.一般氣體的內能,其中f是自由度、n是摩爾數,R是通用氣體常數,T是溫度。雙原子氣體在等溫度下作平移運動及轉動運動,根據雙原子氣體的自由度,則其摩耳熱容量是多少?________
14.在楊氏雙縫實驗中,屏幕位於距離狹縫1m處,以光的波長為5000A照射兩狹縫。兩狹縫A和B的間距因熱效應而改變,狹縫間的距離最大值為1.0mm,最小值為0.8mm。則在螢幕上的干涉圖案的最大和最小條紋寬度差為何?________mm。
15.核融合反應:,涉及兩個氘原子的參與作用,其中每個氘原子的質量為2.0140amu、氦原子的質量為4.0026amu。假設1kg的氘(約含個氘原子)經歷核融合過程,計算其釋放的總能量。(1amu=1.6605×kg、光速c=3×108kg)________J。
(1)計算電場?(r),即在球體內部(r<R)及外部(r>R)的關係,並繪製E對r的關係圖。
(2)計算電位V(r),即在球體內部(r<R)及外部(r>R)的關係,並繪製V對r的關係圖。
(1)發射電子的最大動能為何?
(2)停止光電子發射所需的截止電壓為何?
(3)金屬的底限頻率為何?。
(1)物理學家波耳在1913年提出的定態軌道原子模型理論。
(2)物理學家德布羅意後來提出的物質波理論,並闡述與波耳定態軌道原子模型理論的相關性。
(1)請畫出此阿特午機實驗裝置圖,需標記裝置圖中各儀器名稱及規格。
(2)請寫出研究目的,例如控制什麼變因?改變什麼物理量?觀測什麼物理量?並請依照研究目的設計實驗表格,表格上方需有表頭說明,且需含有理論實際數值與實驗值欄位。
(3)請依據上述設計的表格,自行設定至少5組數據,繪製函數圖表,橫軸為改變的變因,縱軸為測量或理論計算的結果。 請適度調整縱軸,讓圖表呈現線性函數 。需要標示刻度、單位、理論值斜率以及附圖下方說明文字。