所屬科目:教甄◆數學
1.甲、乙、丙、丁、戊共5人排成一列,滿足甲與乙、丙均不相鄰,且丁與戊不相鄰的排法有________種
2.已知z是複數且是纯虚數,則|z-1-i|的最小值是_________。
3.設fn(n)表示最接近6√n的整數,求=_________
4.坐標空間中有三個彼此互相垂直之向量。已知=(1,7,0),且=(4,-3,1)。試問由所張出的平行六面體之體積=_________。
5.將10個半徑為3的球堆成一個三角垛(下為上視圖),則最上面那顆球的最高點離地面的高度為___________。
6.某液晶面板由紅、綠、藍三種顏色的LED燈泡組成。已知各色燈泡亮燈的循環規律如下:
紅色:「亮3秒,再暗1秒,再亮2秒」
綠色:「亮6秒,再暗2秒」
藍色:「亮k秒,再暗(18)k秒」,其中k為正整數。
若在某時刻三種顏色的燈泡同時各自開始作上述循環,面板上都一直有燈亮著,並設各燈泡亮、暗切換的時間極短可被忽略,則k的最小值=__________。
7.坐標平面上,設Γ為三次函數f(x)=x3-9x2+15x-3的函數圖形,P(1,4)為Γ上之一點,試求Γ在P點的切線L和Γ所圍成有界區域的面積=__________。
8.坐標空間中,考慮邊長為2的正立方體,固定一頂點O。從O以外的七個頂點隨機選取相異兩點,設此兩點為P、Q,試問所得的內積之期望值=__________。
9.在菱形ABCD中,∠DAB=60°,將△ABD沿對角線折起得△A1BD,使得A1BD面與CBD面所夾二面角為60°,設向量與向量的夾角為θ,則cosθ=_____________
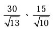
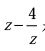
10.方程式=4x3-3x的所有實根的乘積為________
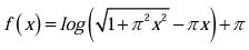
11.設,已知f(m)=5,則f(-m)=_________。
12.在座標平面上,求滿足|13x-10y+6|+|17x+13y-2|≤339的區域面積為_________。
13.f(x)為一個五次實係數多項式,如果fx(x)+1能被(x-1)3整除,且f(x)-1能被(x+1)3整除,則滿足上述條件之f(x)=________。
14.如圖,長方體ABCDEFGH中,對角線CE至不相鄰三邊的距離分別為2√5、,則此長方體體積為_____。
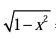
15.一個凸四邊形ABCD如圖所示,其中∠ABC=135°,∠BCD=120°,,求=_______。
(1)a2+a5=?
(2)事件『a=b』發生的機率為何?
2.試證:
三、問答題在數位學習盛行的時代,請推薦一個適合高中學生學習數學的數位學習平台,說明其優缺點,並簡述您將如何引導學生使用該平台自主學習及製作學習歷程檔案。