所屬科目:教甄◆數學
1. =_____ 。
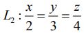
2. 實數 a, b, c 皆不為 0,直線與 交於一點 P, 且 L1 與交於一點 Q,試求向量的坐標表示法為_____ 。
3. 已知 f(x) = 2cos3x +1 ,0 x6 ;若f(x) = 1 恰有 n 個相異實數解,則 n =_____ 。
4. 如圖為一拋物線,其中 F 為交點,A、B 為拋物線上相異兩點,F 在 與拋物線所夾內部區域。 已知 =1, = 2,∠ AFB=120° ,求此拋物線正焦弦長為_____ 。
5. 一個半徑為 1 之小球在一個內壁邊長為 6√6 之正四面體容器內,小球可向各方向自由運動, 則在四面體容器的內壁不會被小球接觸到的面積總和為 _____。
6. 若設坐標平面上有曲線 Γ1 : y=3x-x2 與 Γ2 : y=mx 。Γ1 與 x 軸所圍的面積 A 被直線Γ2 : y=mx 平分成二等分,求 m 之值為 。
7. 從 1,2,3,4,5,6,7 這七個數中,取出任意數字組合,組合內的數字不重複(數字組合可以取 1 到 7 個 數字,但是不可以不取任何數字。例:3 是取一個數字的組合;1,2,5 是取三個數字的組合), 而且每種被取出的數字組合的機率皆相等。則其數字組合的乘積是一完全平方數的機率為_____ 。
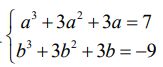
8. 設實數 a、b 滿足 ,則 a +b 的值為 _____。
9. 空間座標中兩平面 E1 : 2 x-2y+z=1 、 E2 : 4x-y-z=2 ,而 L 為 E1、 E2 的交線,且 E1 上有兩 點 A( −2,1, 7) 、 B( −1, 0,3) 。若在平面 E1 上以 A、 B 為焦點作橢圓 Γ ,且 Γ 在 E1 上與 L 相切於 P 。 則 P 點坐標為_____ 。
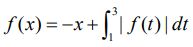
10.函數 f (x) 在[1,3]上連續且滿足 ,則 f (2) =_____ 。
1. 已知雙曲線 的焦點為 F1、 F2 。假設 P(a ,b ) 為 Γ 上異於頂點的動點。 若 r(a ) 為 △PF1F2 的內切圓半徑,則 = ______
2. 下圖為示意圖,已知正方體 ABCD-EFGH 之邊長為 3,另有以 A 為球心, 2√3 為半徑之球面, 問球面與正立方體表面所交出之曲線長為何?
3. 一個 2n 位正整數,若將其中任意兩個位數的數字互換得到一個新的 2n 位正整數,稱之為一次 交換。例:將「3698170230」中的 3 跟 6 一次交換可以得到「6398170230」;將「29250410」 中的 9 跟 0 一次交換可以得到「20250419」。證明:任意 2n 位的正整數可經過有限次的交換, 使得前 n 位的數字和與後 n 位的數字和,兩者差的絕對值小於等於 9,其中 n 為正整數。